Bi2I2Se2
MatHub2d-1163-Bi2I2Se2
| Property |
Value |
| Space group |
(11, 'P2_1/m') |
| Crystal system |
rectangular |
| Magnetic |
No |
| Band gap (PBE) (eV) |
1.81 |
| Free energy (eV) |
-20.064 |
| Free energy / atom (eV) |
-3.344 |
Lattice Parameters (basic)
| a, b, c (Å): | 10.727 | 4.320 | 30.000 |
| α, β, γ (°): | 90.000 | 90.000 | 90.000 |
Lattice Parameters (computed)
| a, b, c (Å): | 11.188 | 4.344 | 30.000 |
| α, β, γ (°): | 90.000 | 90.000 | 90.000 |
| Property |
Value |
| Band gap |
1.81 eV |
| E-fermi |
-4.254 eV |
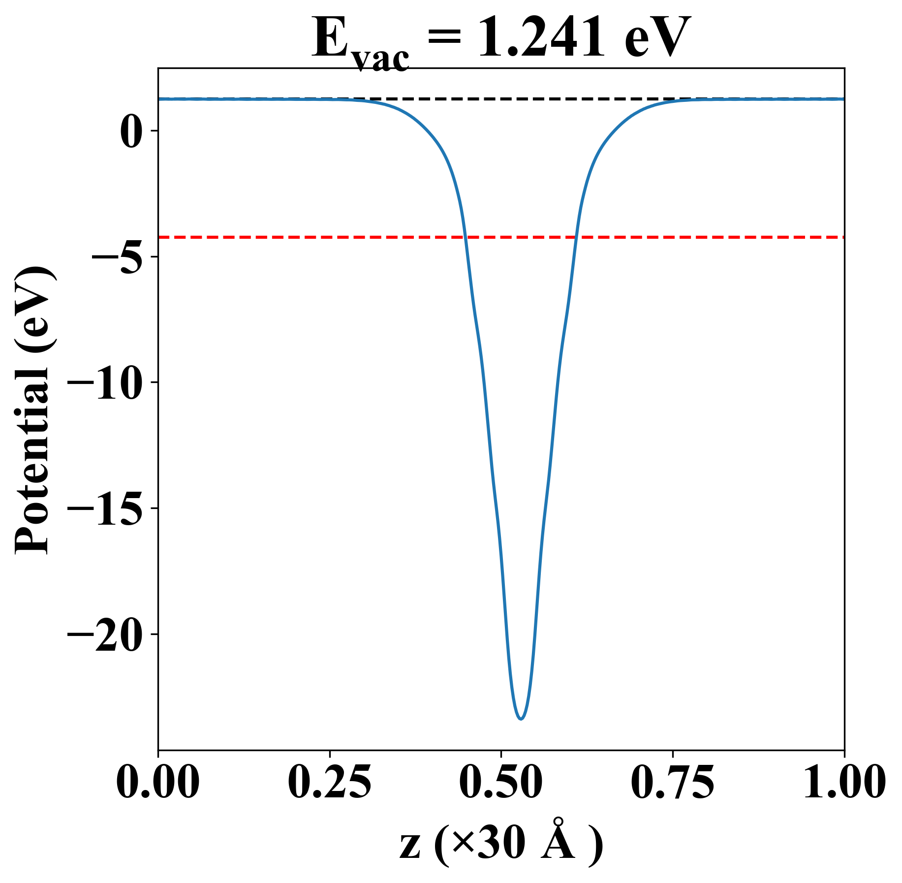
| Vacuum level |
1.241 eV |
| VBM |
-4.506 eV |
| CBM |
-2.692 eV |
| Work function |
5.495 eV |
| Direct gap |
No |
| Property |
Value |
| Band gap |
1.19 eV |
| E-fermi |
-4.151 eV |
| VBM |
-4.449 eV |
| CBM |
-3.257 eV |
| Free energy (eV) |
-21.671 |
| Free energy / atom (eV) |
-3.612 |
| Property |
Value |
| Band gap |
1.81 eV |
| E-fermi |
-4.254 eV |
| Vacuum level |
1.241 eV |
| VBM |
-4.506 eV |
| CBM |
-2.692 eV |
| Work function |
5.495 eV |
| Cij (N/m) |
xx |
yy |
xy |
| xx |
2.520 |
1.291 |
-0.000 |
| yy |
1.291 |
18.841 |
-0.000 |
| xy |
-0.000 |
-0.000 |
0.851 |
| Phonon mode at Γ point (THz) |
| -0.051 |
| -0.006 |
| -0.002 |
| -0.001 |
| 0.847 |
| 1.140 |
| 1.275 |
| 1.578 |
| 1.857 |
| 1.895 |
| 3.169 |
| 3.224 |
| 3.356 |
| 3.470 |
| 4.019 |
| 4.366 |
| 5.510 |
| 5.949 |
| Property |
Value |
| from where |
JVASP-6727 |