Bi2I2S2
MatHub2d-1162-Bi2I2S2
| Property |
Value |
| Space group |
(11, 'P2_1/m') |
| Crystal system |
rectangular |
| Magnetic |
No |
| Band gap (PBE) (eV) |
2.05 |
| Free energy (eV) |
-21.215 |
| Free energy / atom (eV) |
-3.536 |
Lattice Parameters (basic)
| a, b, c (Å): | 10.616 | 4.261 | 30.000 |
| α, β, γ (°): | 90.000 | 90.000 | 90.000 |
Lattice Parameters (computed)
| a, b, c (Å): | 11.018 | 4.279 | 30.000 |
| α, β, γ (°): | 90.000 | 90.000 | 90.000 |
| Property |
Value |
| Band gap |
2.05 eV |
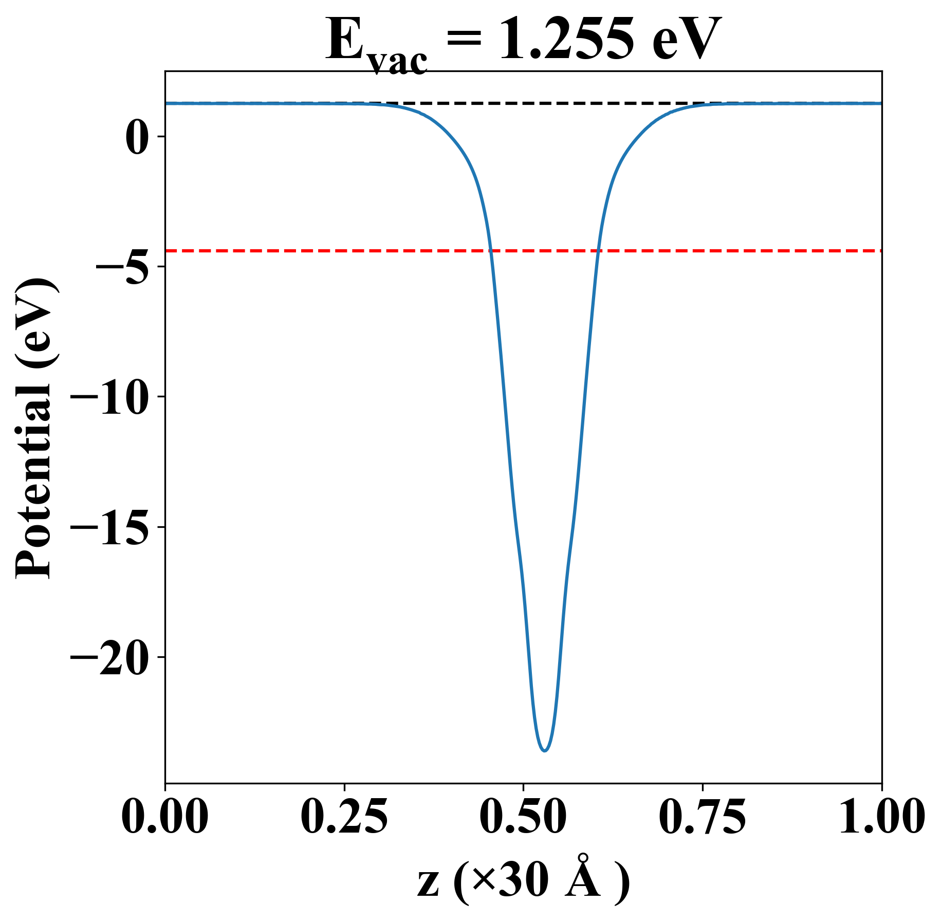
| E-fermi |
-4.398 eV |
| Vacuum level |
1.255 eV |
| VBM |
-4.685 eV |
| CBM |
-2.637 eV |
| Work function |
5.653 eV |
| Direct gap |
No |
| Property |
Value |
| Band gap |
1.39 eV |
| E-fermi |
-4.282 eV |
| VBM |
-4.554 eV |
| CBM |
-3.168 eV |
| Free energy (eV) |
-22.734 |
| Free energy / atom (eV) |
-3.789 |
| Property |
Value |
| Band gap |
2.05 eV |
| E-fermi |
-4.398 eV |
| Vacuum level |
1.255 eV |
| VBM |
-4.685 eV |
| CBM |
-2.637 eV |
| Work function |
5.653 eV |
| Cij (N/m) |
xx |
yy |
xy |
| xx |
2.937 |
0.743 |
-0.000 |
| yy |
0.743 |
18.986 |
-0.000 |
| xy |
-0.000 |
-0.000 |
1.084 |
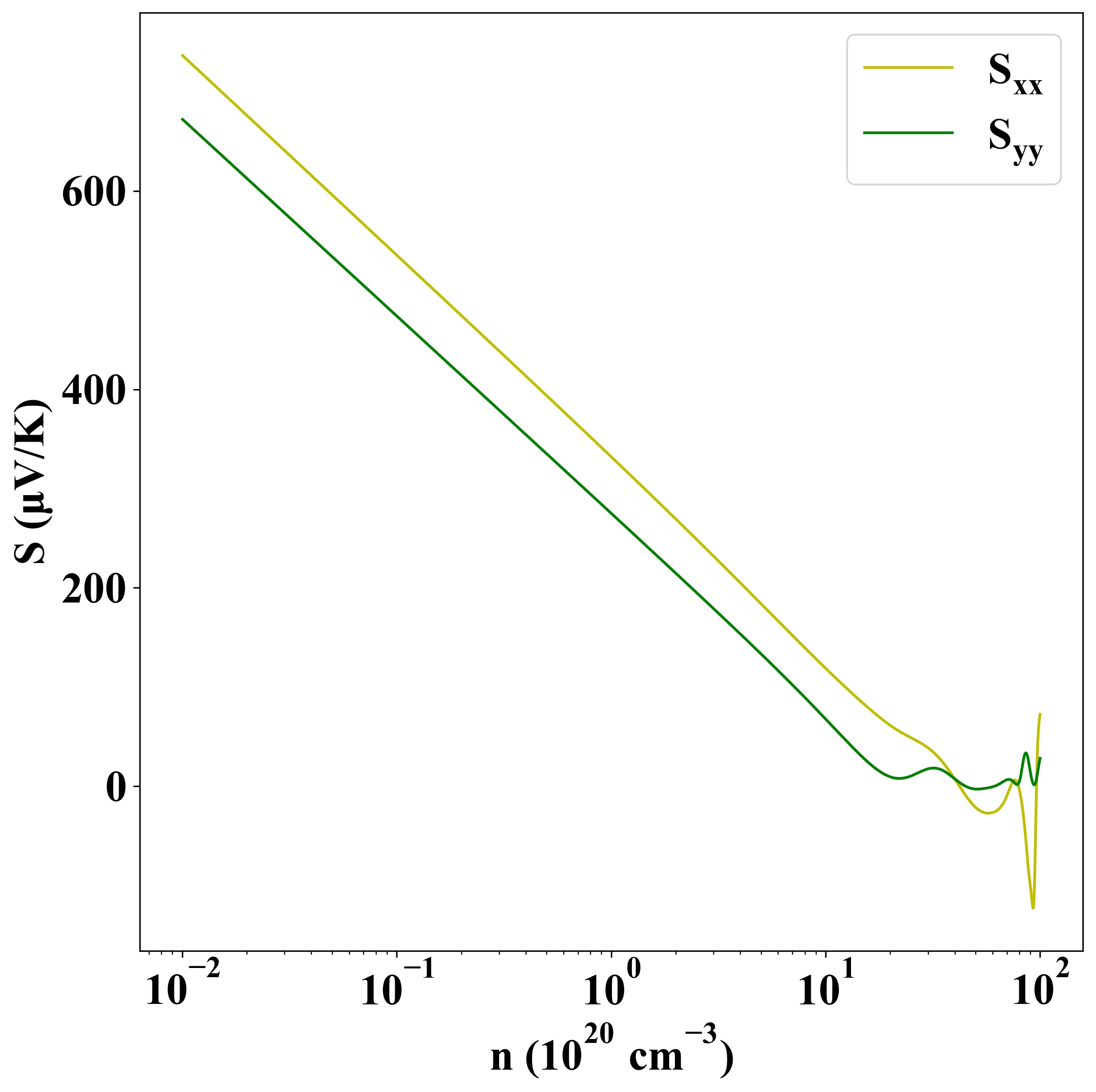
| Phonon mode at Γ point (THz) |
| Property |
Value |
| from where |
JVASP-6907 |