Bi2I2S2
MatHub2d-1161-Bi2I2S2
| Property |
Value |
| Space group |
(59, 'Pmmn') |
| Crystal system |
rectangular |
| Magnetic |
No |
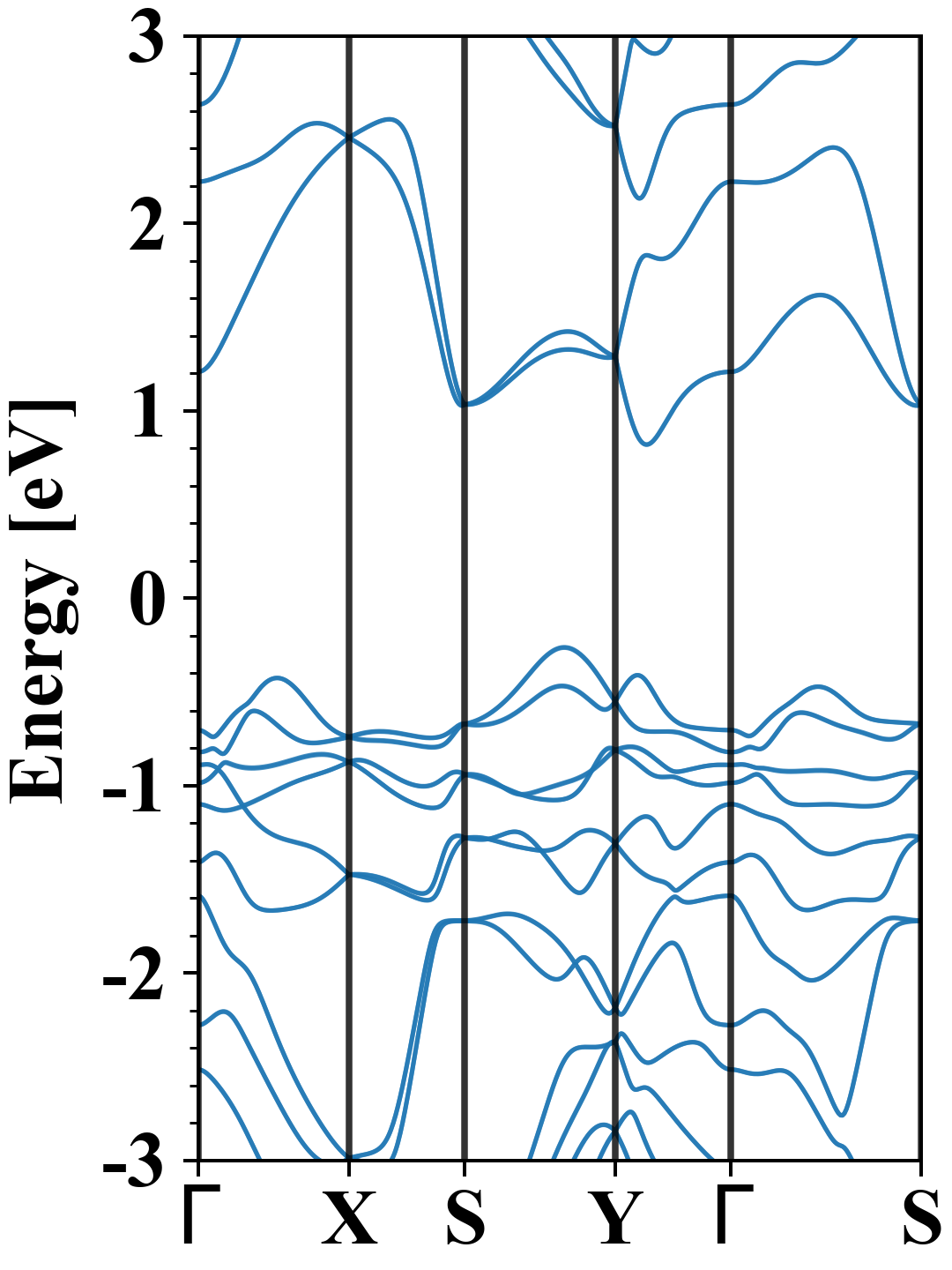
| Band gap (PBE) (eV) |
1.67 |
| Free energy (eV) |
-21.534 |
| Free energy / atom (eV) |
-3.589 |
Lattice Parameters (basic)
| a, b, c (Å): | 4.274 | 5.544 | 30.000 |
| α, β, γ (°): | 90.000 | 90.000 | 90.000 |
Lattice Parameters (computed)
| a, b, c (Å): | 4.274 | 5.562 | 30.000 |
| α, β, γ (°): | 90.000 | 90.000 | 90.000 |
| Property |
Value |
| Band gap |
1.67 eV |
| E-fermi |
-3.392 eV |
| Vacuum level |
2.701 eV |
| VBM |
-3.668 eV |
| CBM |
-2.000 eV |
| Work function |
6.093 eV |
| Direct gap |
No |
| Property |
Value |
| Band gap |
1.08 eV |
| E-fermi |
-3.204 eV |
| VBM |
-3.465 eV |
| CBM |
-2.385 eV |
| Free energy (eV) |
-23.002 |
| Free energy / atom (eV) |
-3.834 |
| Property |
Value |
| Band gap |
1.67 eV |
| E-fermi |
-3.392 eV |
| Vacuum level |
2.701 eV |
| VBM |
-3.668 eV |
| CBM |
-2.000 eV |
| Work function |
6.093 eV |
| Cij (N/m) |
xx |
yy |
xy |
| xx |
37.534 |
6.994 |
0.000 |
| yy |
6.994 |
57.377 |
0.000 |
| xy |
0.000 |
0.000 |
12.359 |
| Phonon mode at Γ point (THz) |
| Property |
Value |
| from where |
c2db-48 |