Bi2I2N2
MatHub2d-1159-Bi2I2N2
| Property |
Value |
| Space group |
(59, 'Pmmn') |
| Crystal system |
rectangular |
| Magnetic |
No |
| Band gap (PBE) (eV) |
0.00 |
| Free energy (eV) |
-24.802 |
| Free energy / atom (eV) |
-4.134 |
Lattice Parameters (basic)
| a, b, c (Å): | 3.484 | 4.590 | 30.000 |
| α, β, γ (°): | 90.000 | 90.000 | 90.000 |
Lattice Parameters (computed)
| a, b, c (Å): | 3.413 | 4.613 | 30.000 |
| α, β, γ (°): | 90.000 | 90.000 | 90.000 |
| Property |
Value |
| Band gap |
0.00 eV |
| E-fermi |
-2.481 eV |
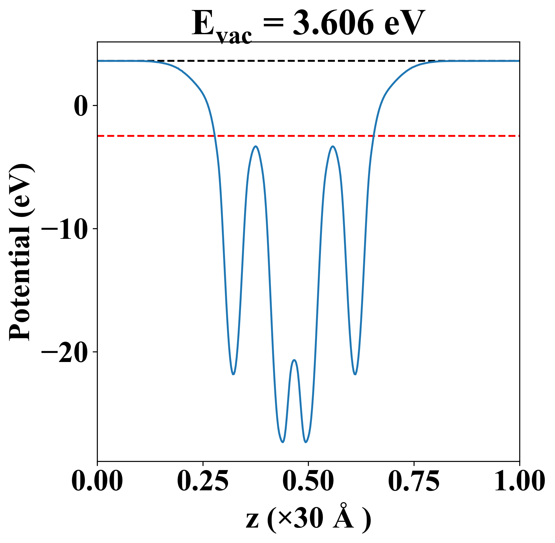
| Vacuum level |
3.606 eV |
| VBM |
-2.483 eV |
| CBM |
-2.480 eV |
| Work function |
6.086 eV |
| Direct gap |
Yes |
| Property |
Value |
| Band gap |
0.00 eV |
| E-fermi |
-2.481 eV |
| Vacuum level |
3.606 eV |
| VBM |
-2.483 eV |
| CBM |
-2.480 eV |
| Work function |
6.086 eV |
| Cij (N/m) |
xx |
yy |
xy |
| xx |
70.816 |
11.634 |
0.000 |
| yy |
11.634 |
67.845 |
0.000 |
| xy |
0.000 |
0.000 |
22.902 |
| Phonon mode at Γ point (THz) |
| -0.208 |
| -0.161 |
| -0.018 |
| -0.009 |
| 0.023 |
| 0.820 |
| 0.999 |
| 1.046 |
| 1.198 |
| 2.602 |
| 2.691 |
| 4.032 |
| 5.491 |
| 12.338 |
| 13.653 |
| 13.780 |
| 13.875 |
| 13.976 |
| Property |
Value |
| from where |
c2db-46 |