Bi2Cl2Se2
MatHub2d-1158-Bi2Cl2Se2
| Property |
Value |
| Space group |
(59, 'Pmmn') |
| Crystal system |
rectangular |
| Magnetic |
No |
| Band gap (PBE) (eV) |
1.16 |
| Free energy (eV) |
-22.229 |
| Free energy / atom (eV) |
-3.705 |
Lattice Parameters (basic)
| a, b, c (Å): | 4.147 | 5.886 | 30.000 |
| α, β, γ (°): | 90.000 | 90.000 | 90.000 |
Lattice Parameters (computed)
| a, b, c (Å): | 4.149 | 5.886 | 30.000 |
| α, β, γ (°): | 90.000 | 90.000 | 90.000 |
| Property |
Value |
| Band gap |
1.16 eV |
| E-fermi |
-4.214 eV |
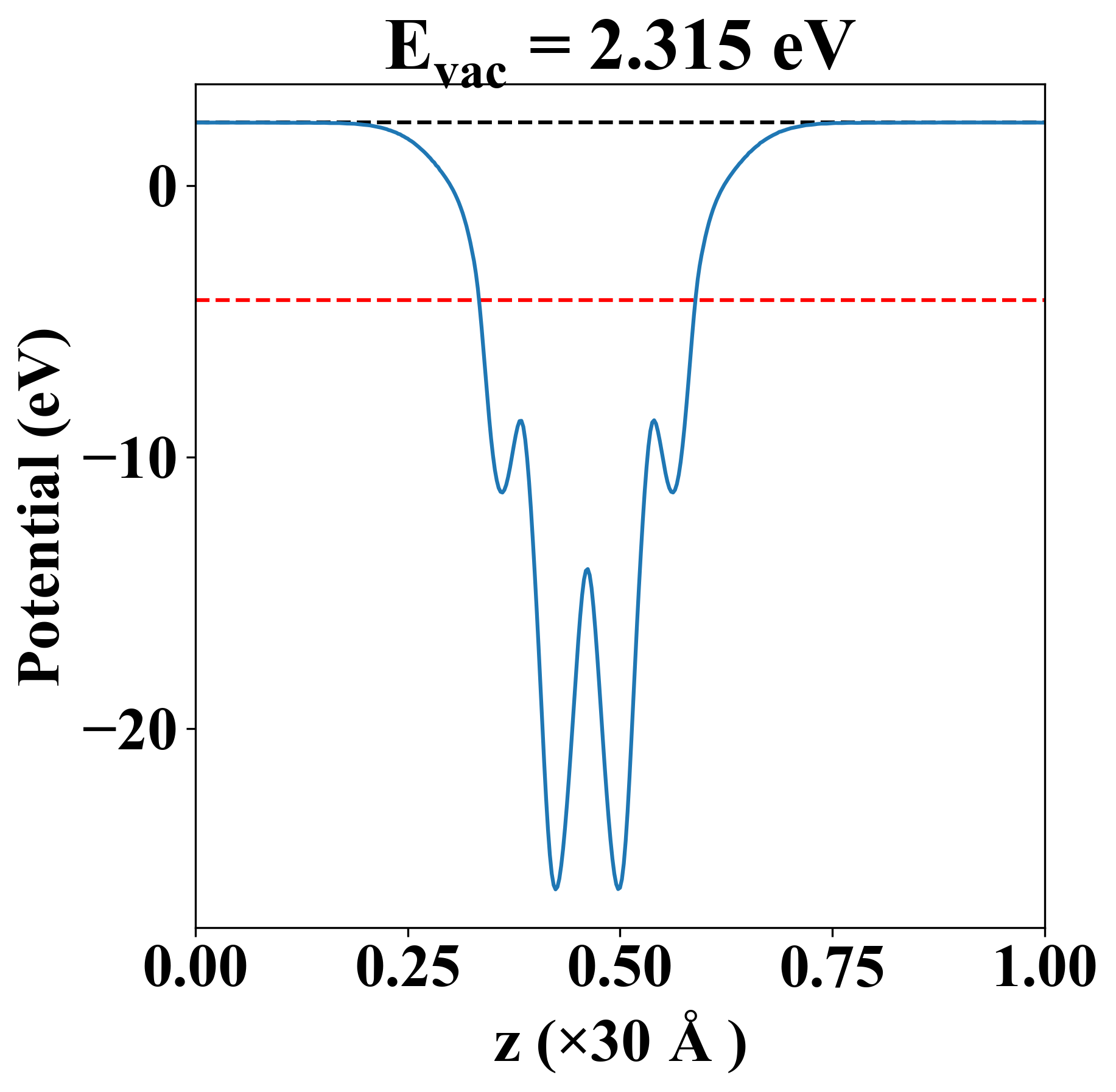
| Vacuum level |
2.315 eV |
| VBM |
-4.473 eV |
| CBM |
-3.309 eV |
| Work function |
6.529 eV |
| Direct gap |
No |
| Property |
Value |
| Band gap |
0.87 eV |
| E-fermi |
-4.200 eV |
| VBM |
-4.496 eV |
| CBM |
-3.622 eV |
| Free energy (eV) |
-23.447 |
| Free energy / atom (eV) |
-3.908 |
| Property |
Value |
| Band gap |
1.16 eV |
| E-fermi |
-4.214 eV |
| Vacuum level |
2.315 eV |
| VBM |
-4.473 eV |
| CBM |
-3.309 eV |
| Work function |
6.529 eV |
| Cij (N/m) |
xx |
yy |
xy |
| xx |
40.428 |
7.150 |
0.000 |
| yy |
7.150 |
63.380 |
0.000 |
| xy |
0.000 |
0.000 |
9.886 |
| Phonon mode at Γ point (THz) |
| -0.974 |
| -0.010 |
| -0.006 |
| 0.009 |
| 0.104 |
| 0.675 |
| 0.987 |
| 1.645 |
| 1.733 |
| 1.766 |
| 1.865 |
| 3.835 |
| 4.290 |
| 4.380 |
| 4.524 |
| 4.633 |
| 6.240 |
| 6.379 |
| Property |
Value |
| from where |
c2db-45 |