Bi2Cl2S2
MatHub2d-1157-Bi2Cl2S2
| Property |
Value |
| Space group |
(59, 'Pmmn') |
| Crystal system |
rectangular |
| Magnetic |
No |
| Band gap (PBE) (eV) |
1.76 |
| Free energy (eV) |
-23.482 |
| Free energy / atom (eV) |
-3.914 |
Lattice Parameters (basic)
| a, b, c (Å): | 4.097 | 5.572 | 30.000 |
| α, β, γ (°): | 90.000 | 90.000 | 90.000 |
Lattice Parameters (computed)
| a, b, c (Å): | 4.092 | 5.572 | 30.000 |
| α, β, γ (°): | 90.000 | 90.000 | 90.000 |
| Property |
Value |
| Band gap |
1.76 eV |
| E-fermi |
-4.306 eV |
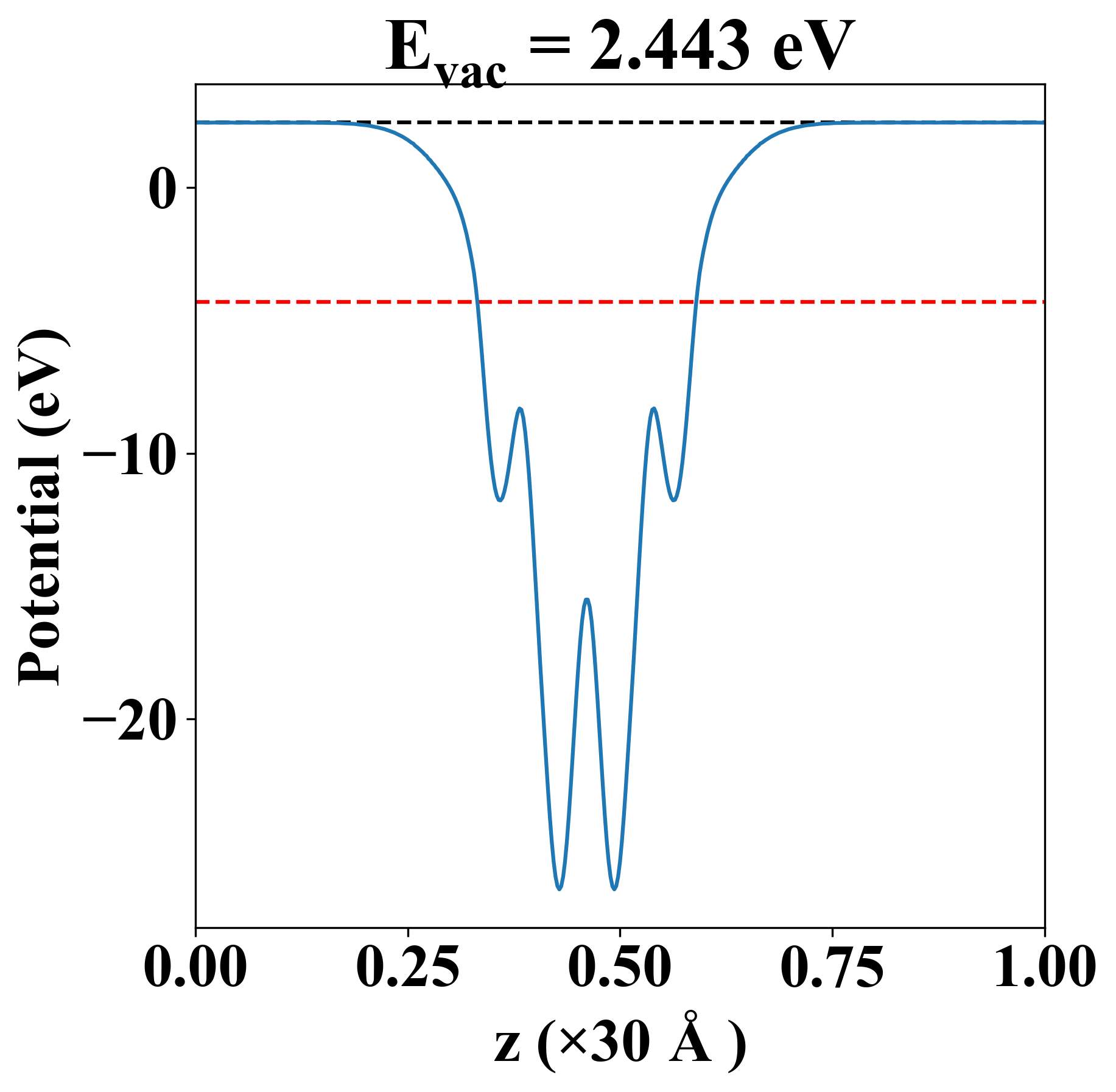
| Vacuum level |
2.443 eV |
| VBM |
-4.531 eV |
| CBM |
-2.770 eV |
| Work function |
6.749 eV |
| Direct gap |
No |
| Property |
Value |
| Band gap |
1.21 eV |
| E-fermi |
-4.320 eV |
| VBM |
-4.558 eV |
| CBM |
-3.344 eV |
| Free energy (eV) |
-24.593 |
| Free energy / atom (eV) |
-4.099 |
| Property |
Value |
| Band gap |
1.76 eV |
| E-fermi |
-4.306 eV |
| Vacuum level |
2.443 eV |
| VBM |
-4.531 eV |
| CBM |
-2.770 eV |
| Work function |
6.749 eV |
| Cij (N/m) |
xx |
yy |
xy |
| xx |
43.580 |
8.270 |
0.000 |
| yy |
8.270 |
60.937 |
0.000 |
| xy |
0.000 |
0.000 |
10.872 |
| Phonon mode at Γ point (THz) |
| Property |
Value |
| from where |
c2db-44 |