Bi2Cl2O2
MatHub2d-1156-Bi2Cl2O2
| Property |
Value |
| Space group |
(59, 'Pmmn') |
| Crystal system |
rectangular |
| Magnetic |
No |
| Band gap (PBE) (eV) |
2.71 |
| Free energy (eV) |
-28.093 |
| Free energy / atom (eV) |
-4.682 |
Lattice Parameters (basic)
| a, b, c (Å): | 3.958 | 4.298 | 30.000 |
| α, β, γ (°): | 90.000 | 90.000 | 90.000 |
Lattice Parameters (computed)
| a, b, c (Å): | 3.960 | 4.303 | 30.000 |
| α, β, γ (°): | 90.000 | 90.000 | 90.000 |
| Property |
Value |
| Band gap |
2.71 eV |
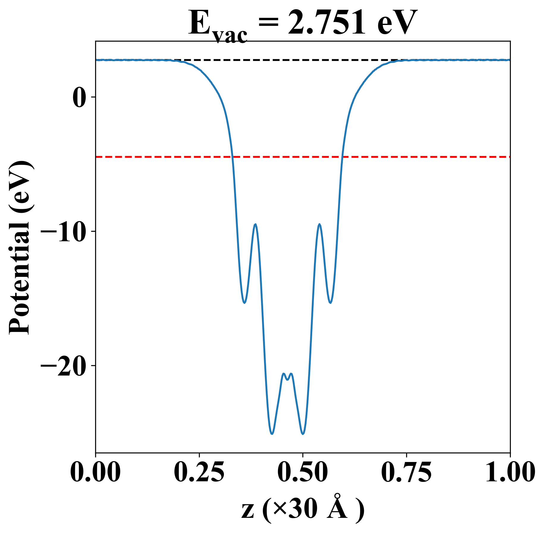
| E-fermi |
-4.466 eV |
| Vacuum level |
2.751 eV |
| VBM |
-4.717 eV |
| CBM |
-2.009 eV |
| Work function |
7.217 eV |
| Direct gap |
No |
| Property |
Value |
| Band gap |
2.08 eV |
| E-fermi |
-4.452 eV |
| VBM |
-4.692 eV |
| CBM |
-2.613 eV |
| Free energy (eV) |
-29.063 |
| Free energy / atom (eV) |
-4.844 |
| Property |
Value |
| Band gap |
2.71 eV |
| E-fermi |
-4.466 eV |
| Vacuum level |
2.751 eV |
| VBM |
-4.717 eV |
| CBM |
-2.009 eV |
| Work function |
7.217 eV |
| Cij (N/m) |
xx |
yy |
xy |
| xx |
67.291 |
22.887 |
0.000 |
| yy |
22.887 |
48.566 |
0.000 |
| xy |
0.000 |
0.000 |
24.462 |
| Phonon mode at Γ point (THz) |
| Property |
Value |
| from where |
c2db-43 |