Bi2Cl2N2
MatHub2d-1155-Bi2Cl2N2
| Property |
Value |
| Space group |
(59, 'Pmmn') |
| Crystal system |
rectangular |
| Magnetic |
|
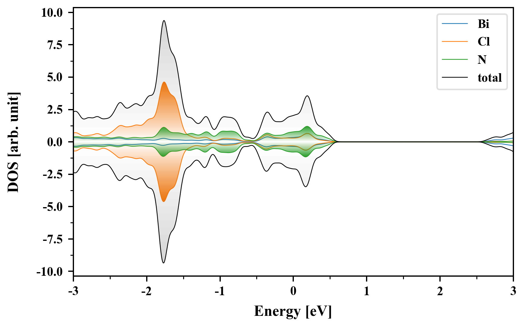
| Band gap (PBE) (eV) |
0.00 |
| Free energy (eV) |
-26.556 |
| Free energy / atom (eV) |
-4.426 |
Lattice Parameters (basic)
| a, b, c (Å): | 3.701 | 4.459 | 30.000 |
| α, β, γ (°): | 90.000 | 90.000 | 90.000 |
Lattice Parameters (computed)
| a, b, c (Å): | 3.713 | 4.472 | 30.000 |
| α, β, γ (°): | 90.000 | 90.000 | 90.000 |
| Property |
Value |
| Band gap |
0.00 eV |
| E-fermi |
-3.998 eV |
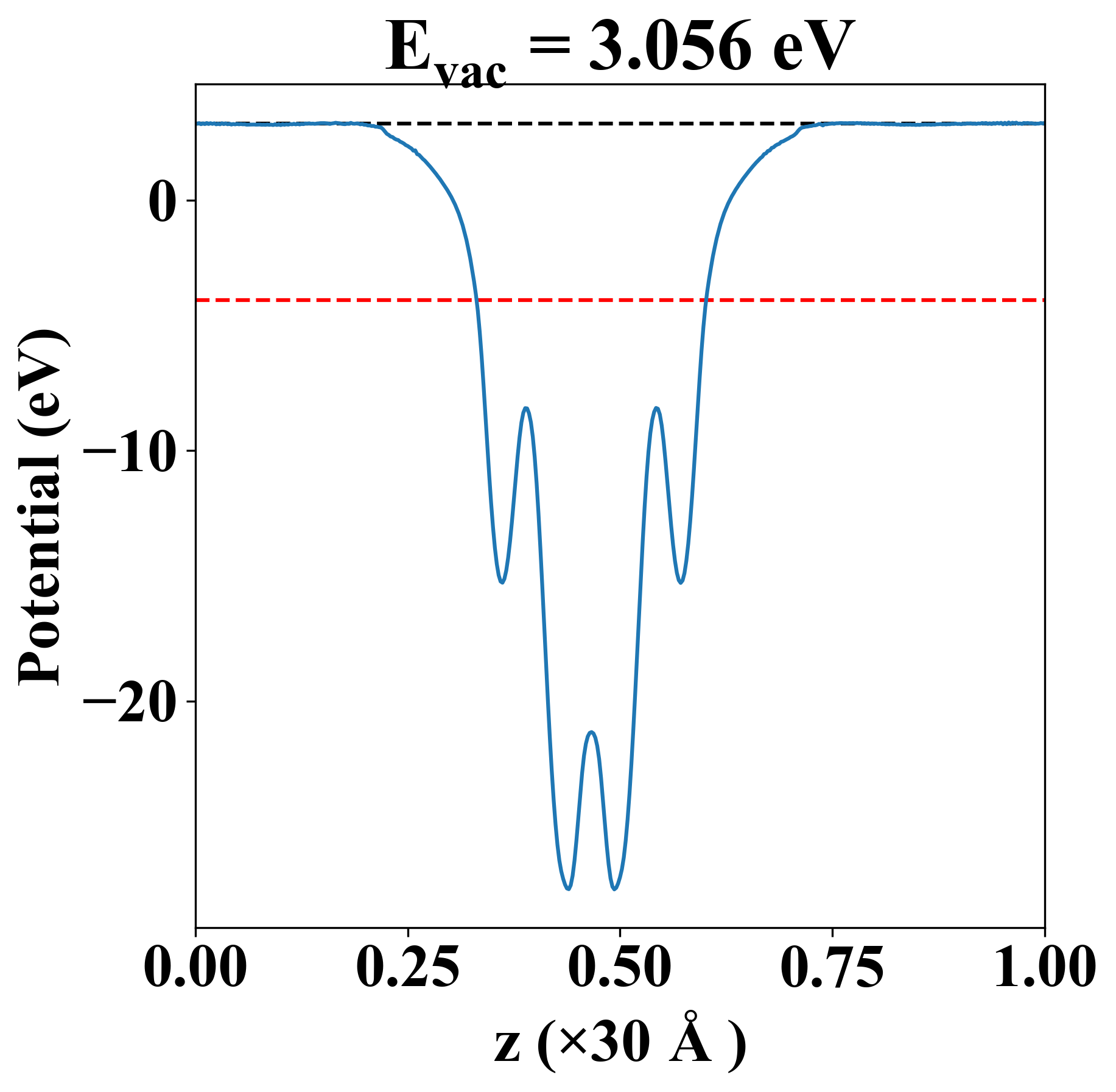
| Vacuum level |
3.056 eV |
| VBM |
-3.998 eV |
| CBM |
-3.998 eV |
| Work function |
7.053 eV |
| Direct gap |
No |
| Property |
Value |
| Band gap |
0.00 eV |
| E-fermi |
-3.998 eV |
| Vacuum level |
3.056 eV |
| VBM |
-3.998 eV |
| CBM |
-3.998 eV |
| Work function |
7.053 eV |
| Cij (N/m) |
xx |
yy |
xy |
| xx |
61.100 |
21.136 |
0.000 |
| yy |
21.136 |
71.653 |
0.000 |
| xy |
0.000 |
0.000 |
19.450 |
| Phonon mode at Γ point (THz) |
| Property |
Value |
| from where |
c2db-42 |