Bi2Br2Se2
MatHub2d-1154-Bi2Br2Se2
| Property |
Value |
| Space group |
(59, 'Pmmn') |
| Crystal system |
rectangular |
| Magnetic |
No |
| Band gap (PBE) (eV) |
1.15 |
| Free energy (eV) |
-21.289 |
| Free energy / atom (eV) |
-3.548 |
Lattice Parameters (basic)
| a, b, c (Å): | 4.210 | 5.877 | 30.000 |
| α, β, γ (°): | 90.000 | 90.000 | 90.000 |
Lattice Parameters (computed)
| a, b, c (Å): | 4.212 | 5.875 | 30.000 |
| α, β, γ (°): | 90.000 | 90.000 | 90.000 |
| Property |
Value |
| Band gap |
1.15 eV |
| E-fermi |
-4.018 eV |
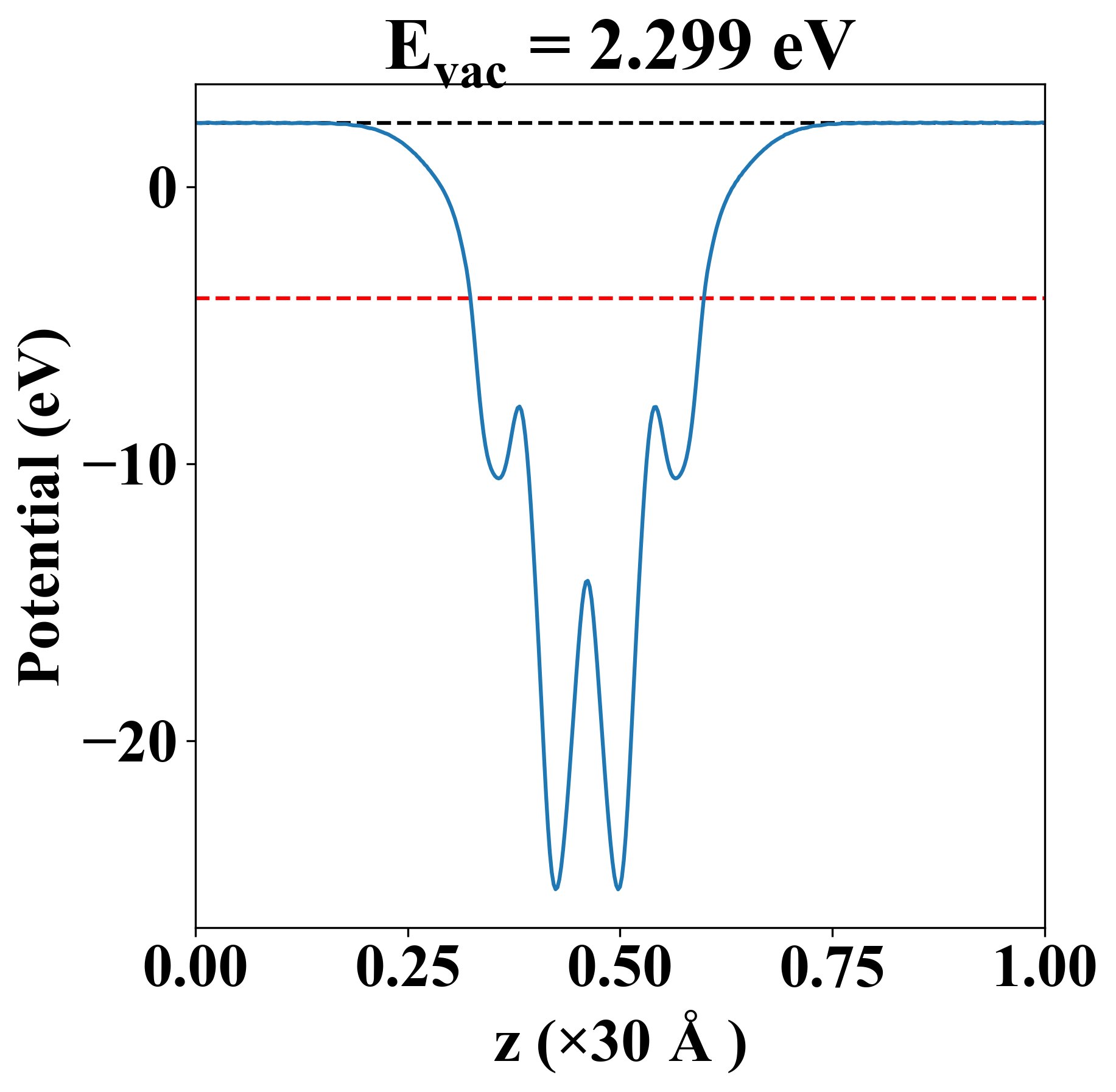
| Vacuum level |
2.299 eV |
| VBM |
-4.279 eV |
| CBM |
-3.132 eV |
| Work function |
6.318 eV |
| Direct gap |
No |
| Property |
Value |
| Band gap |
0.89 eV |
| E-fermi |
-4.012 eV |
| VBM |
-4.268 eV |
| CBM |
-3.382 eV |
| Free energy (eV) |
-22.592 |
| Free energy / atom (eV) |
-3.765 |
| Property |
Value |
| Band gap |
1.15 eV |
| E-fermi |
-4.018 eV |
| Vacuum level |
2.299 eV |
| VBM |
-4.279 eV |
| CBM |
-3.132 eV |
| Work function |
6.318 eV |
| Cij (N/m) |
xx |
yy |
xy |
| xx |
37.078 |
8.073 |
0.000 |
| yy |
8.073 |
51.936 |
0.000 |
| xy |
0.000 |
0.000 |
9.718 |
| Phonon mode at Γ point (THz) |
| Property |
Value |
| from where |
c2db-41 |