Bi2Br2S2
MatHub2d-1153-Bi2Br2S2
| Property |
Value |
| Space group |
(59, 'Pmmn') |
| Crystal system |
rectangular |
| Magnetic |
No |
| Band gap (PBE) (eV) |
1.74 |
| Free energy (eV) |
-22.528 |
| Free energy / atom (eV) |
-3.755 |
Lattice Parameters (basic)
| a, b, c (Å): | 4.158 | 5.563 | 30.000 |
| α, β, γ (°): | 90.000 | 90.000 | 90.000 |
Lattice Parameters (computed)
| a, b, c (Å): | 4.159 | 5.564 | 30.000 |
| α, β, γ (°): | 90.000 | 90.000 | 90.000 |
| Property |
Value |
| Band gap |
1.74 eV |
| E-fermi |
-4.106 eV |
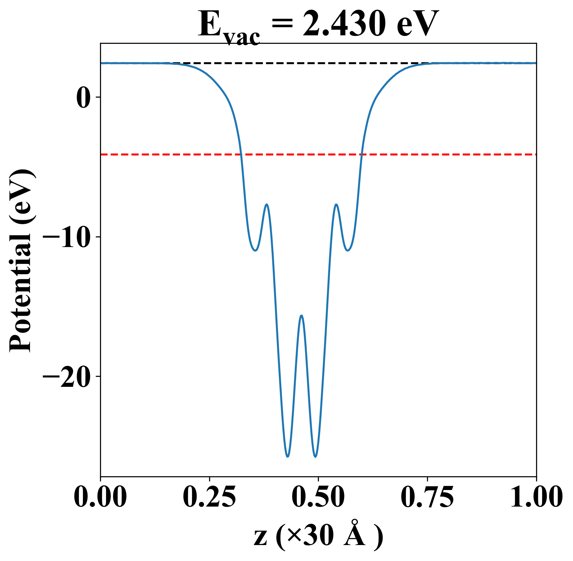
| Vacuum level |
2.430 eV |
| VBM |
-4.323 eV |
| CBM |
-2.585 eV |
| Work function |
6.536 eV |
| Direct gap |
No |
| Property |
Value |
| Band gap |
1.21 eV |
| E-fermi |
-4.043 eV |
| VBM |
-4.311 eV |
| CBM |
-3.097 eV |
| Free energy (eV) |
-23.728 |
| Free energy / atom (eV) |
-3.955 |
| Property |
Value |
| Band gap |
1.74 eV |
| E-fermi |
-4.106 eV |
| Vacuum level |
2.430 eV |
| VBM |
-4.323 eV |
| CBM |
-2.585 eV |
| Work function |
6.536 eV |
| Cij (N/m) |
xx |
yy |
xy |
| xx |
43.536 |
12.927 |
0.000 |
| yy |
12.927 |
65.577 |
0.000 |
| xy |
0.000 |
0.000 |
12.087 |
| Phonon mode at Γ point (THz) |
| Property |
Value |
| from where |
c2db-40 |