Bi2Br2S2
MatHub2d-1152-Bi2Br2S2
| Property |
Value |
| Space group |
(11, 'P2_1/m') |
| Crystal system |
rectangular |
| Magnetic |
No |
| Band gap (PBE) (eV) |
1.64 |
| Free energy (eV) |
-22.612 |
| Free energy / atom (eV) |
-3.769 |
Lattice Parameters (basic)
| a, b, c (Å): | 7.201 | 4.086 | 30.000 |
| α, β, γ (°): | 90.000 | 90.000 | 90.000 |
Lattice Parameters (computed)
| a, b, c (Å): | 7.306 | 4.128 | 30.000 |
| α, β, γ (°): | 90.000 | 90.000 | 90.000 |
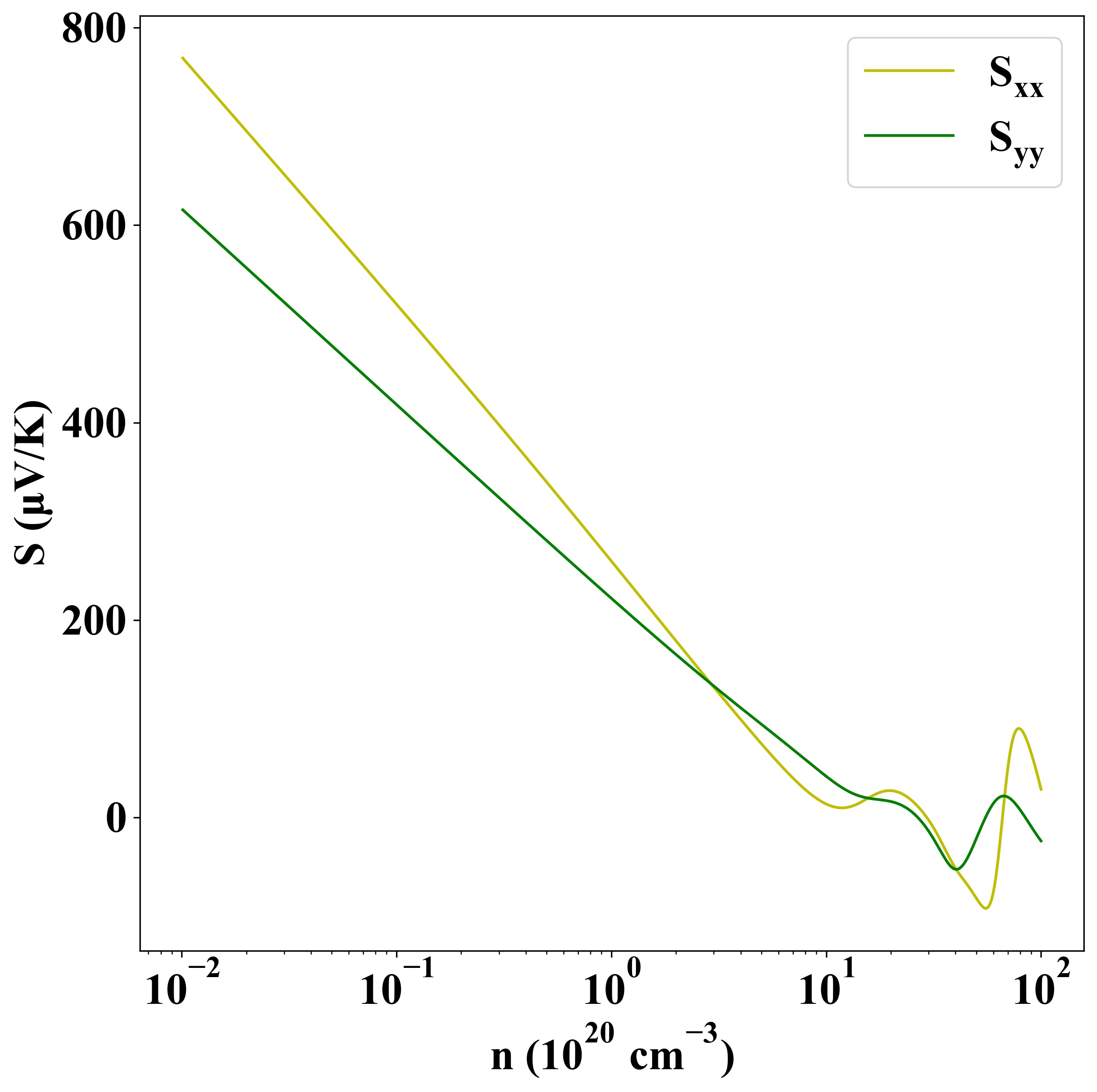
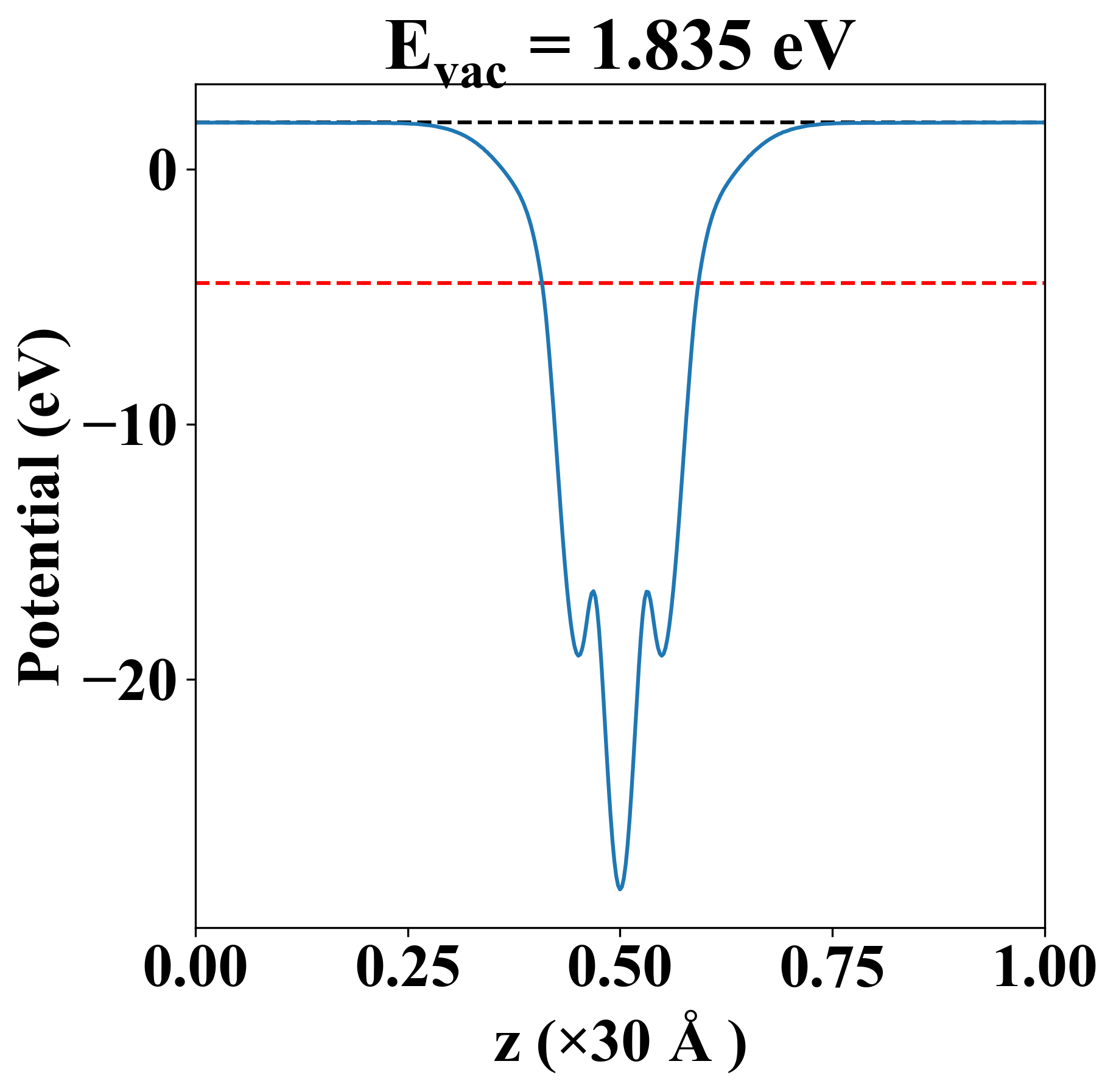
| Property |
Value |
| Band gap |
1.64 eV |
| E-fermi |
-4.462 eV |
| Vacuum level |
1.835 eV |
| VBM |
-4.728 eV |
| CBM |
-3.089 eV |
| Work function |
6.297 eV |
| Direct gap |
No |
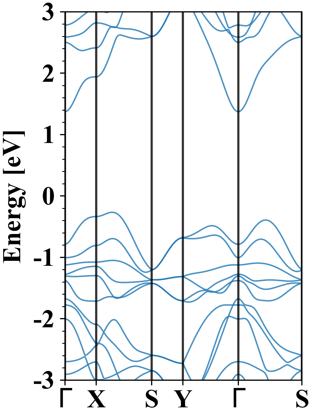
| Property |
Value |
| Band gap |
1.16 eV |
| E-fermi |
-4.402 eV |
| VBM |
-4.723 eV |
| CBM |
-3.561 eV |
| Free energy (eV) |
-23.836 |
| Free energy / atom (eV) |
-3.973 |
| Property |
Value |
| Band gap |
1.64 eV |
| E-fermi |
-4.462 eV |
| Vacuum level |
1.835 eV |
| VBM |
-4.728 eV |
| CBM |
-3.089 eV |
| Work function |
6.297 eV |
| Cij (N/m) |
xx |
yy |
xy |
| xx |
21.277 |
3.587 |
-0.000 |
| yy |
3.587 |
29.815 |
-0.000 |
| xy |
-0.000 |
-0.000 |
6.537 |
| Phonon mode at Γ point (THz) |
| -0.005 |
| -0.003 |
| -0.001 |
| 1.029 |
| 1.572 |
| 1.780 |
| 1.789 |
| 1.814 |
| 1.901 |
| 2.355 |
| 3.665 |
| 3.952 |
| 5.430 |
| 5.828 |
| 6.146 |
| 7.093 |
| 7.444 |
| 7.507 |
| Property |
Value |
| from where |
JVASP-6535 |