Bi2Br2O2
MatHub2d-1151-Bi2Br2O2
| Property |
Value |
| Space group |
(59, 'Pmmn') |
| Crystal system |
rectangular |
| Magnetic |
No |
| Band gap (PBE) (eV) |
2.41 |
| Free energy (eV) |
-27.065 |
| Free energy / atom (eV) |
-4.511 |
Lattice Parameters (basic)
| a, b, c (Å): | 4.004 | 4.320 | 30.000 |
| α, β, γ (°): | 90.000 | 90.000 | 90.000 |
Lattice Parameters (computed)
| a, b, c (Å): | 4.006 | 4.325 | 30.000 |
| α, β, γ (°): | 90.000 | 90.000 | 90.000 |
| Property |
Value |
| Band gap |
2.41 eV |
| E-fermi |
-3.912 eV |
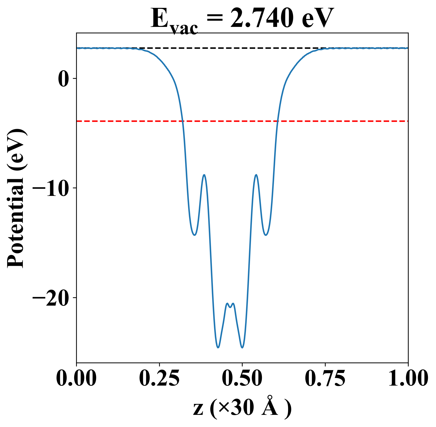
| Vacuum level |
2.740 eV |
| VBM |
-4.226 eV |
| CBM |
-1.819 eV |
| Work function |
6.652 eV |
| Direct gap |
No |
| Property |
Value |
| Band gap |
1.77 eV |
| E-fermi |
-3.768 eV |
| VBM |
-4.105 eV |
| CBM |
-2.339 eV |
| Free energy (eV) |
-28.130 |
| Free energy / atom (eV) |
-4.688 |
| Property |
Value |
| Band gap |
2.41 eV |
| E-fermi |
-3.912 eV |
| Vacuum level |
2.740 eV |
| VBM |
-4.226 eV |
| CBM |
-1.819 eV |
| Work function |
6.652 eV |
| Cij (N/m) |
xx |
yy |
xy |
| xx |
60.476 |
18.949 |
0.000 |
| yy |
18.949 |
43.408 |
0.000 |
| xy |
0.000 |
0.000 |
22.236 |
| Phonon mode at Γ point (THz) |
| Property |
Value |
| from where |
c2db-39 |