Bi2Br2N2
MatHub2d-1150-Bi2Br2N2
| Property |
Value |
| Space group |
(59, 'Pmmn') |
| Crystal system |
rectangular |
| Magnetic |
No |
| Band gap (PBE) (eV) |
0.00 |
| Free energy (eV) |
-25.676 |
| Free energy / atom (eV) |
-4.279 |
Lattice Parameters (basic)
| a, b, c (Å): | 3.745 | 4.441 | 30.000 |
| α, β, γ (°): | 90.000 | 90.000 | 90.000 |
Lattice Parameters (computed)
| a, b, c (Å): | 3.754 | 4.455 | 30.000 |
| α, β, γ (°): | 90.000 | 90.000 | 90.000 |
| Property |
Value |
| Band gap |
0.00 eV |
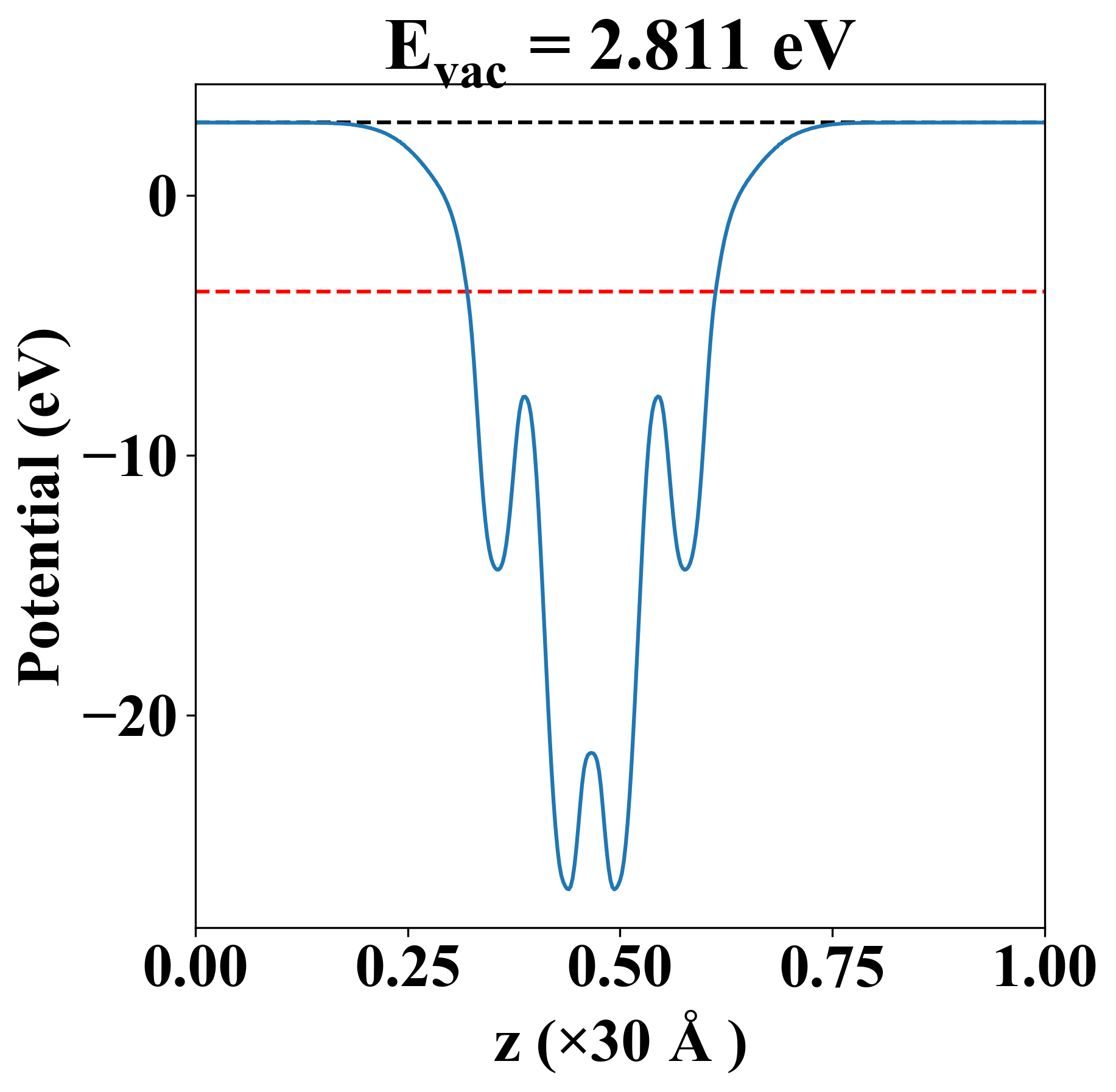
| E-fermi |
-3.702 eV |
| Vacuum level |
2.811 eV |
| VBM |
-3.702 eV |
| CBM |
-3.700 eV |
| Work function |
6.513 eV |
| Direct gap |
No |
| Property |
Value |
| Band gap |
0.00 eV |
| E-fermi |
-3.702 eV |
| Vacuum level |
2.811 eV |
| VBM |
-3.702 eV |
| CBM |
-3.700 eV |
| Work function |
6.513 eV |
| Cij (N/m) |
xx |
yy |
xy |
| xx |
63.796 |
20.990 |
0.000 |
| yy |
20.990 |
67.017 |
0.000 |
| xy |
0.000 |
0.000 |
22.097 |
| Phonon mode at Γ point (THz) |
| -0.016 |
| -0.007 |
| -0.003 |
| 0.521 |
| 0.585 |
| 1.655 |
| 2.077 |
| 2.484 |
| 2.632 |
| 2.943 |
| 4.584 |
| 5.079 |
| 9.050 |
| 9.366 |
| 9.537 |
| 9.640 |
| 10.320 |
| 14.452 |
| Property |
Value |
| from where |
c2db-38 |