Ba2Br2Cl2
MatHub2d-1149-Ba2Br2Cl2
| Property |
Value |
| Space group |
(11, 'P2_1/m') |
| Crystal system |
rectangular |
| Magnetic |
No |
| Band gap (PBE) (eV) |
5.09 |
| Free energy (eV) |
-24.612 |
| Free energy / atom (eV) |
-4.102 |
Lattice Parameters (basic)
| a, b, c (Å): | 8.369 | 4.834 | 30.000 |
| α, β, γ (°): | 90.000 | 90.000 | 90.000 |
Lattice Parameters (computed)
| a, b, c (Å): | 8.478 | 4.894 | 30.000 |
| α, β, γ (°): | 90.000 | 90.000 | 90.000 |
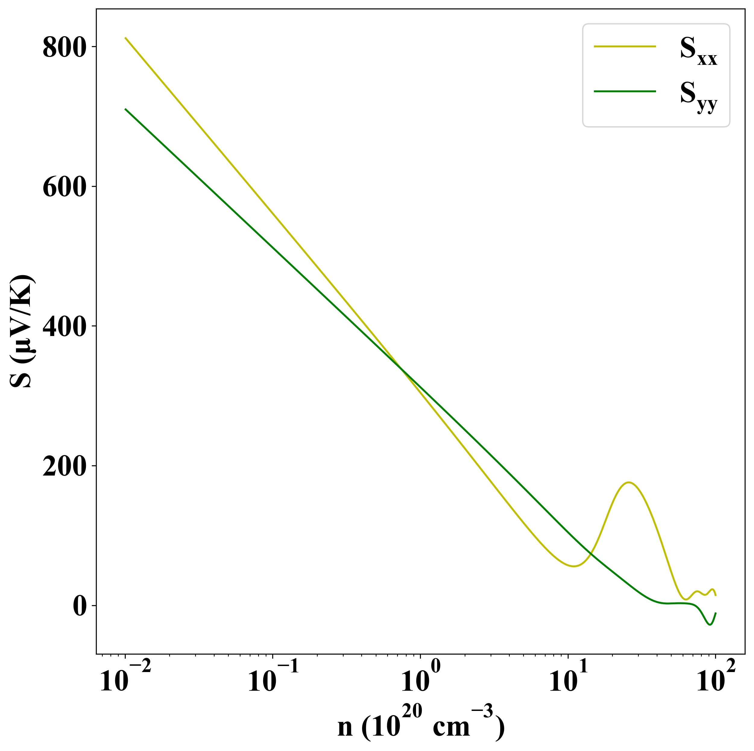
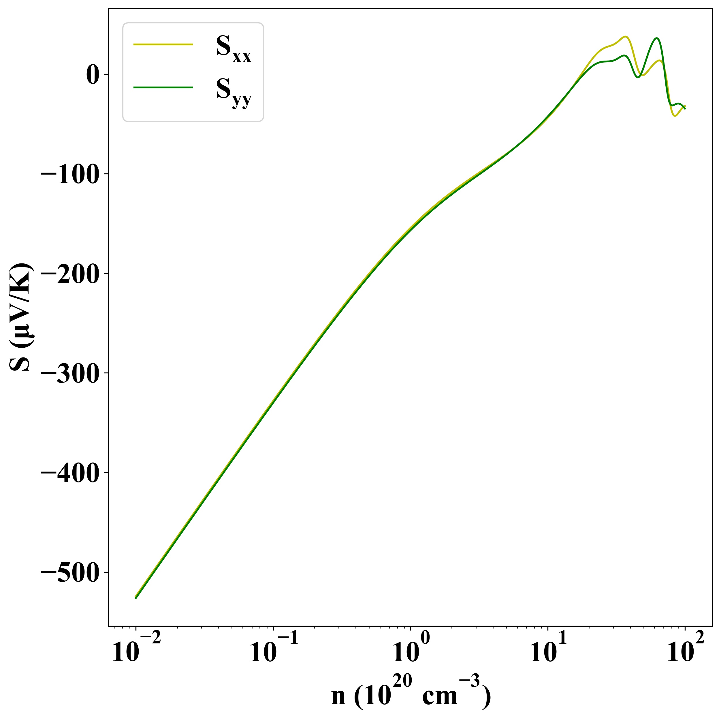
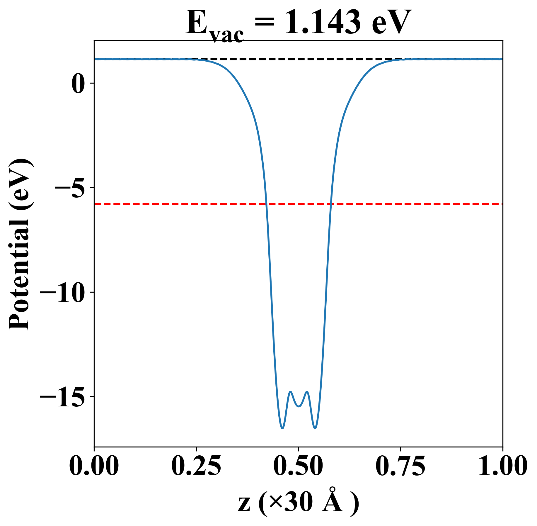
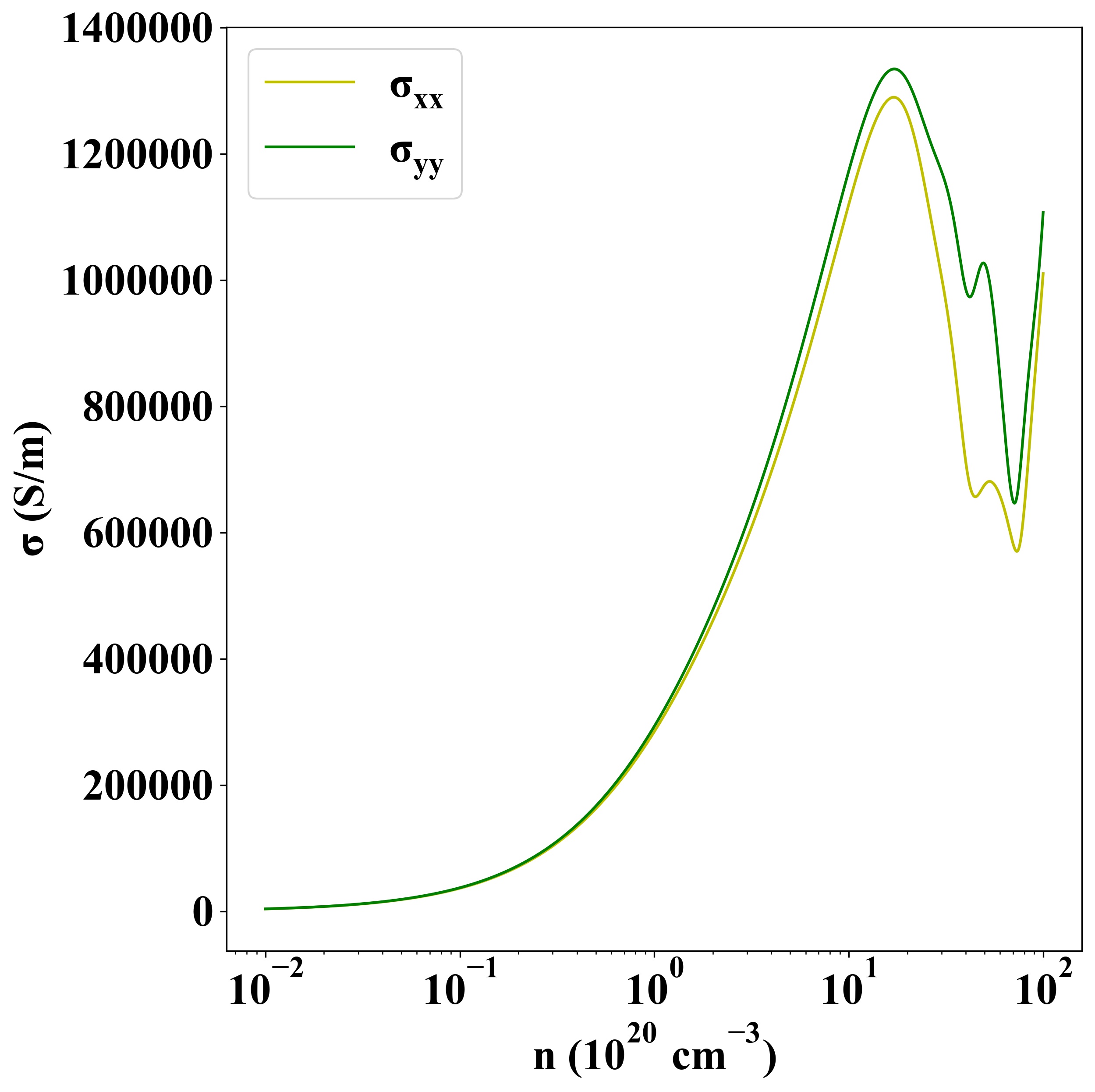
| Property |
Value |
| Band gap |
5.09 eV |
| E-fermi |
-5.791 eV |
| Vacuum level |
1.143 eV |
| VBM |
-6.124 eV |
| CBM |
-1.039 eV |
| Work function |
6.934 eV |
| Direct gap |
No |
| Property |
Value |
| Band gap |
5.01 eV |
| E-fermi |
-5.780 eV |
| VBM |
-6.065 eV |
| CBM |
-1.056 eV |
| Free energy (eV) |
-25.053 |
| Free energy / atom (eV) |
-4.176 |
| Property |
Value |
| Band gap |
5.09 eV |
| E-fermi |
-5.791 eV |
| Vacuum level |
1.143 eV |
| VBM |
-6.124 eV |
| CBM |
-1.039 eV |
| Work function |
6.934 eV |
| Cij (N/m) |
xx |
yy |
xy |
| xx |
17.576 |
4.463 |
-0.000 |
| yy |
4.463 |
16.601 |
-0.000 |
| xy |
-0.000 |
-0.000 |
5.402 |
| Phonon mode at Γ point (THz) |
| Property |
Value |
| from where |
JVASP-6748 |