B2C2Dy2
MatHub2d-1148-B2C2Dy2
| Property |
Value |
| Space group |
(10, 'P2/m') |
| Crystal system |
rectangular |
| Magnetic |
No |
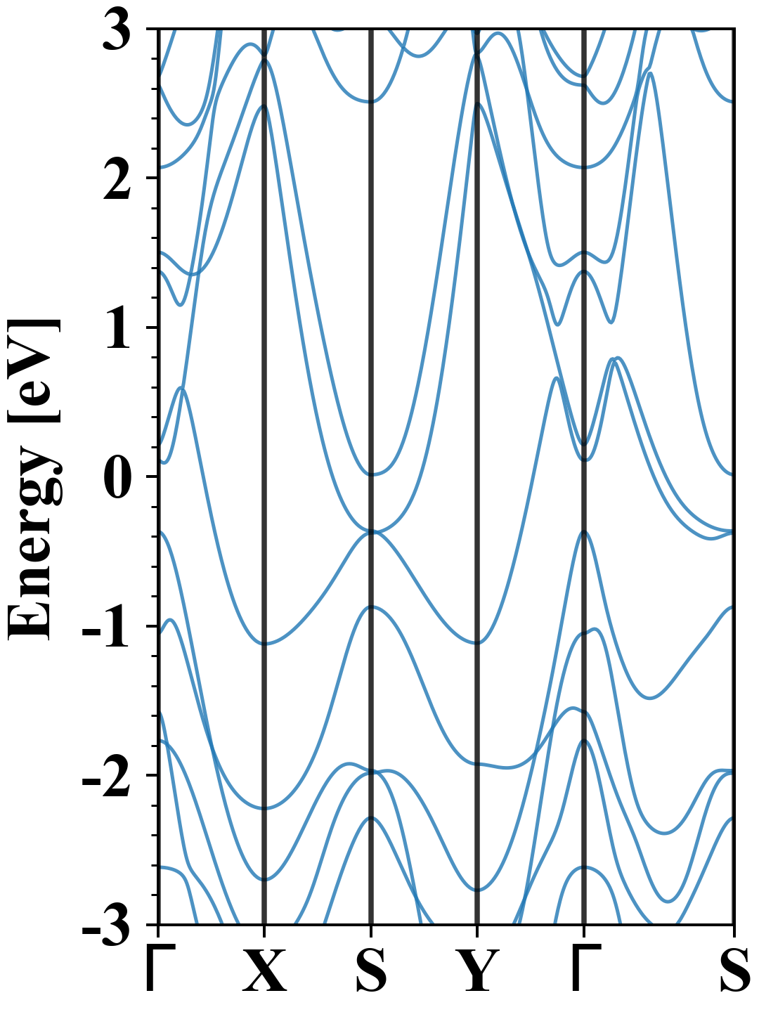
| Band gap (PBE) (eV) |
0.00 |
| Free energy (eV) |
-41.220 |
| Free energy / atom (eV) |
-6.870 |
Lattice Parameters (basic)
| a, b, c (Å): | 3.507 | 3.496 | 30.000 |
| α, β, γ (°): | 90.000 | 90.000 | 90.000 |
Lattice Parameters (computed)
| a, b, c (Å): | 3.507 | 3.489 | 30.000 |
| α, β, γ (°): | 90.000 | 90.000 | 90.000 |
| Property |
Value |
| Band gap |
0.00 eV |
| E-fermi |
-1.842 eV |
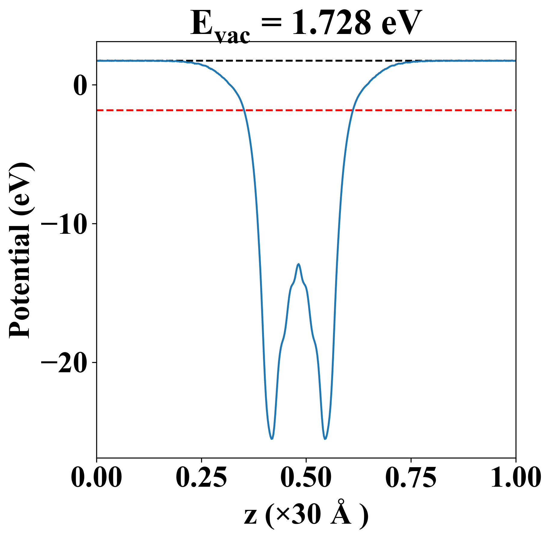
| Vacuum level |
1.728 eV |
| VBM |
-1.842 eV |
| CBM |
-1.842 eV |
| Work function |
3.570 eV |
| Direct gap |
No |
| Property |
Value |
| Band gap |
0.00 eV |
| E-fermi |
-1.842 eV |
| Vacuum level |
1.728 eV |
| VBM |
-1.842 eV |
| CBM |
-1.842 eV |
| Work function |
3.570 eV |
| Cij (N/m) |
xx |
yy |
xy |
| xx |
149.967 |
60.232 |
-0.000 |
| yy |
60.232 |
194.314 |
-0.000 |
| xy |
-0.000 |
-0.000 |
73.709 |
| Phonon mode at Γ point (THz) |
| -0.004 |
| -0.002 |
| 0.001 |
| 1.087 |
| 1.479 |
| 2.954 |
| 7.582 |
| 8.021 |
| 8.731 |
| 9.037 |
| 9.778 |
| 12.620 |
| 13.636 |
| 13.978 |
| 15.069 |
| 19.475 |
| 35.817 |
| 38.770 |
| Property |
Value |
| from where |
JVASP-6466 |