B1P1S4
MatHub2d-1147-B1P1S4
| Property |
Value |
| Space group |
(16, 'P222') |
| Crystal system |
rectangular |
| Magnetic |
No |
| Band gap (PBE) (eV) |
2.28 |
| Free energy (eV) |
-30.468 |
| Free energy / atom (eV) |
-5.078 |
Lattice Parameters (basic)
| a, b, c (Å): | 4.722 | 5.294 | 30.000 |
| α, β, γ (°): | 90.000 | 90.000 | 90.000 |
Lattice Parameters (computed)
| a, b, c (Å): | 5.756 | 5.285 | 30.000 |
| α, β, γ (°): | 90.000 | 90.000 | 90.000 |
| Property |
Value |
| Band gap |
2.28 eV |
| E-fermi |
-4.495 eV |
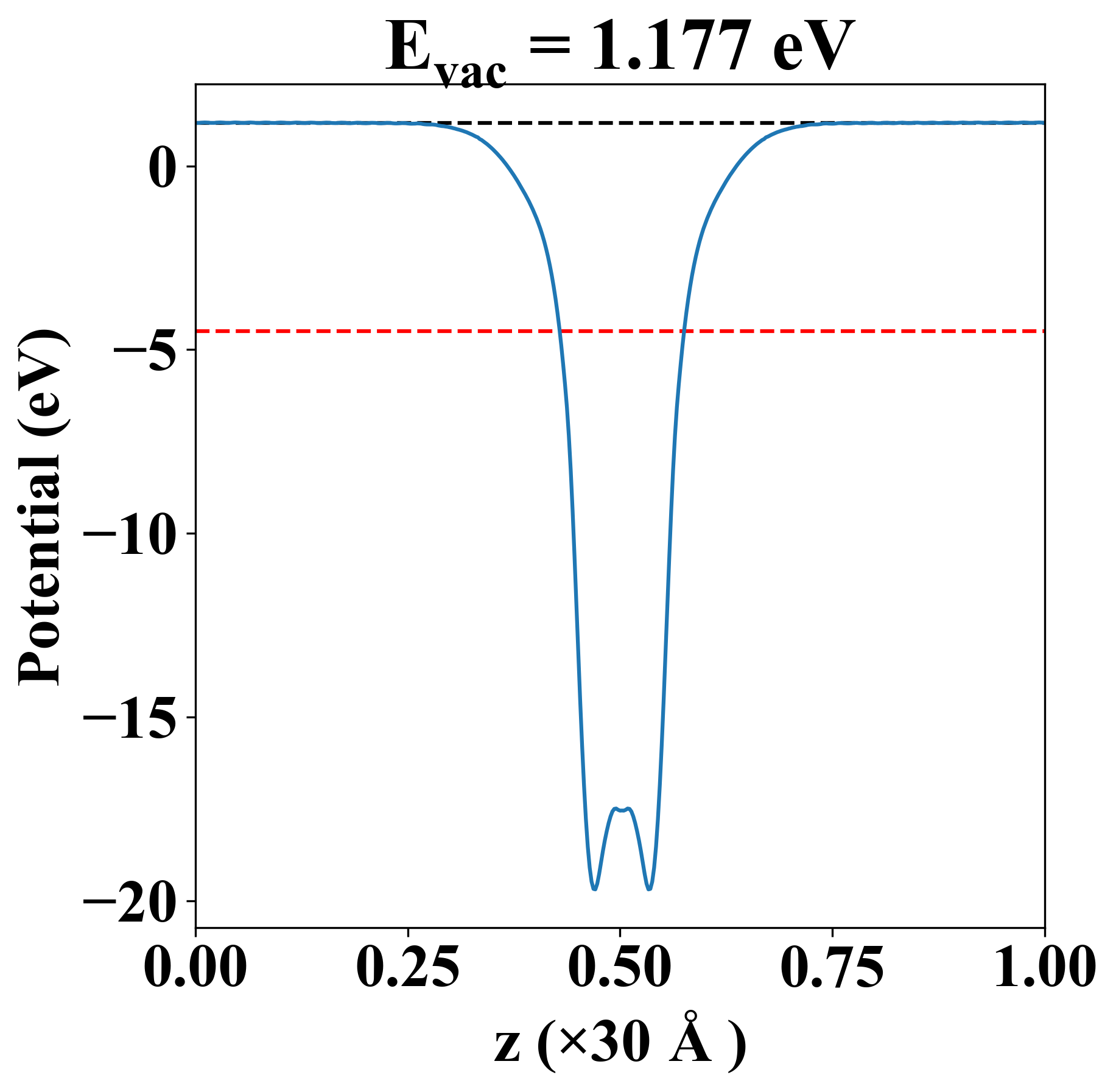
| Vacuum level |
1.177 eV |
| VBM |
-4.706 eV |
| CBM |
-2.424 eV |
| Work function |
5.672 eV |
| Direct gap |
No |
| Property |
Value |
| Band gap |
2.28 eV |
| E-fermi |
-4.425 eV |
| VBM |
-4.717 eV |
| CBM |
-2.435 eV |
| Free energy (eV) |
-30.471 |
| Free energy / atom (eV) |
-5.078 |
| Property |
Value |
| Band gap |
2.28 eV |
| E-fermi |
-4.495 eV |
| Vacuum level |
1.177 eV |
| VBM |
-4.706 eV |
| CBM |
-2.424 eV |
| Work function |
5.672 eV |
| Cij (N/m) |
xx |
yy |
xy |
| xx |
1.539 |
0.308 |
0.000 |
| yy |
0.308 |
71.432 |
-0.000 |
| xy |
0.000 |
-0.000 |
-0.049 |
| Phonon mode at Γ point (THz) |
| Property |
Value |
| from where |
JVASP-6190 |