Au2Se2
MatHub2d-1146-Au2Se2
| Property |
Value |
| Space group |
(10, 'P2/m') |
| Crystal system |
rectangular |
| Magnetic |
No |
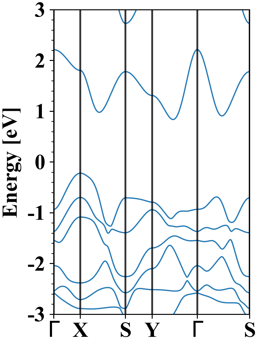
| Band gap (PBE) (eV) |
1.24 |
| Free energy (eV) |
-9.933 |
| Free energy / atom (eV) |
-2.483 |
Lattice Parameters (basic)
| a, b, c (Å): | 6.070 | 3.688 | 30.000 |
| α, β, γ (°): | 90.000 | 90.000 | 90.000 |
Lattice Parameters (computed)
| a, b, c (Å): | 6.292 | 3.715 | 30.000 |
| α, β, γ (°): | 90.000 | 90.000 | 90.000 |
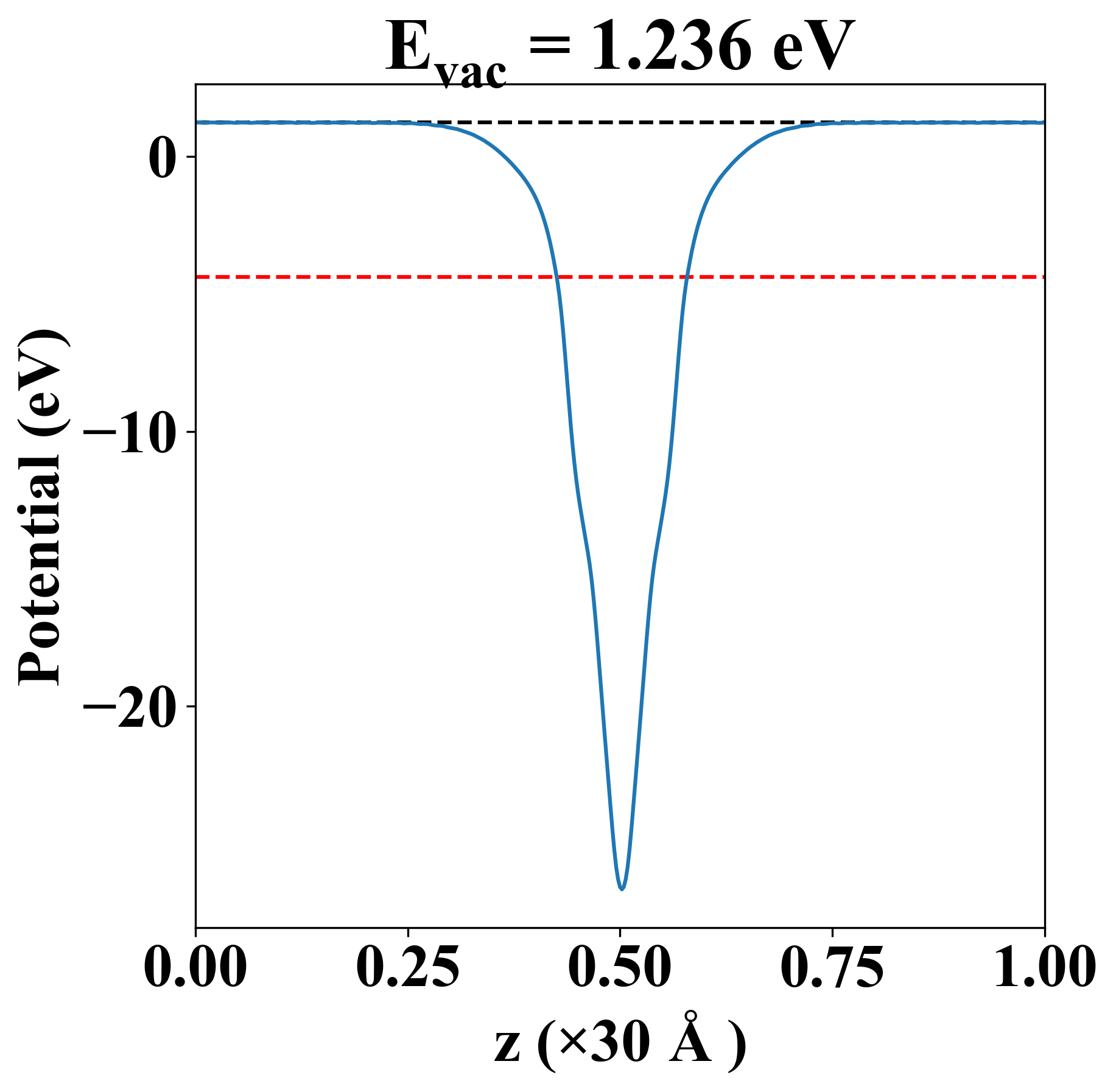
| Property |
Value |
| Band gap |
1.24 eV |
| E-fermi |
-4.383 eV |
| Vacuum level |
1.236 eV |
| VBM |
-4.627 eV |
| CBM |
-3.387 eV |
| Work function |
5.619 eV |
| Direct gap |
No |
| Property |
Value |
| Band gap |
1.06 eV |
| E-fermi |
-4.218 eV |
| VBM |
-4.438 eV |
| CBM |
-3.381 eV |
| Free energy (eV) |
-10.484 |
| Free energy / atom (eV) |
-2.621 |
| Property |
Value |
| Band gap |
1.24 eV |
| E-fermi |
-4.383 eV |
| Vacuum level |
1.236 eV |
| VBM |
-4.627 eV |
| CBM |
-3.387 eV |
| Work function |
5.619 eV |
| Cij (N/m) |
xx |
yy |
xy |
| xx |
8.413 |
2.748 |
-0.000 |
| yy |
2.748 |
34.840 |
0.000 |
| xy |
-0.000 |
0.000 |
3.495 |
| Phonon mode at Γ point (THz) |
| -0.002 |
| -0.002 |
| -0.001 |
| 1.657 |
| 2.078 |
| 3.025 |
| 4.955 |
| 5.301 |
| 5.830 |
| 6.683 |
| 6.690 |
| 6.808 |
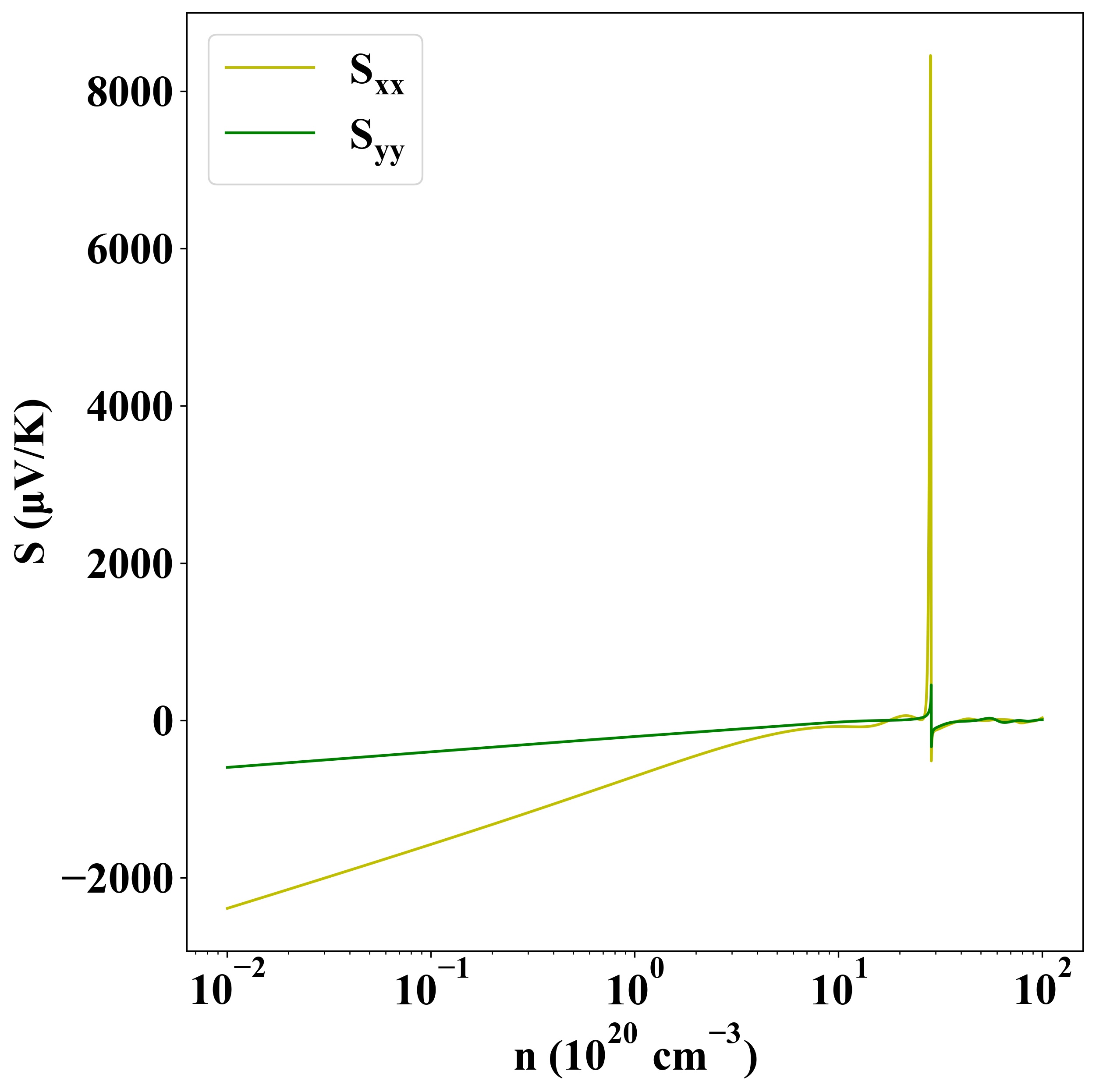
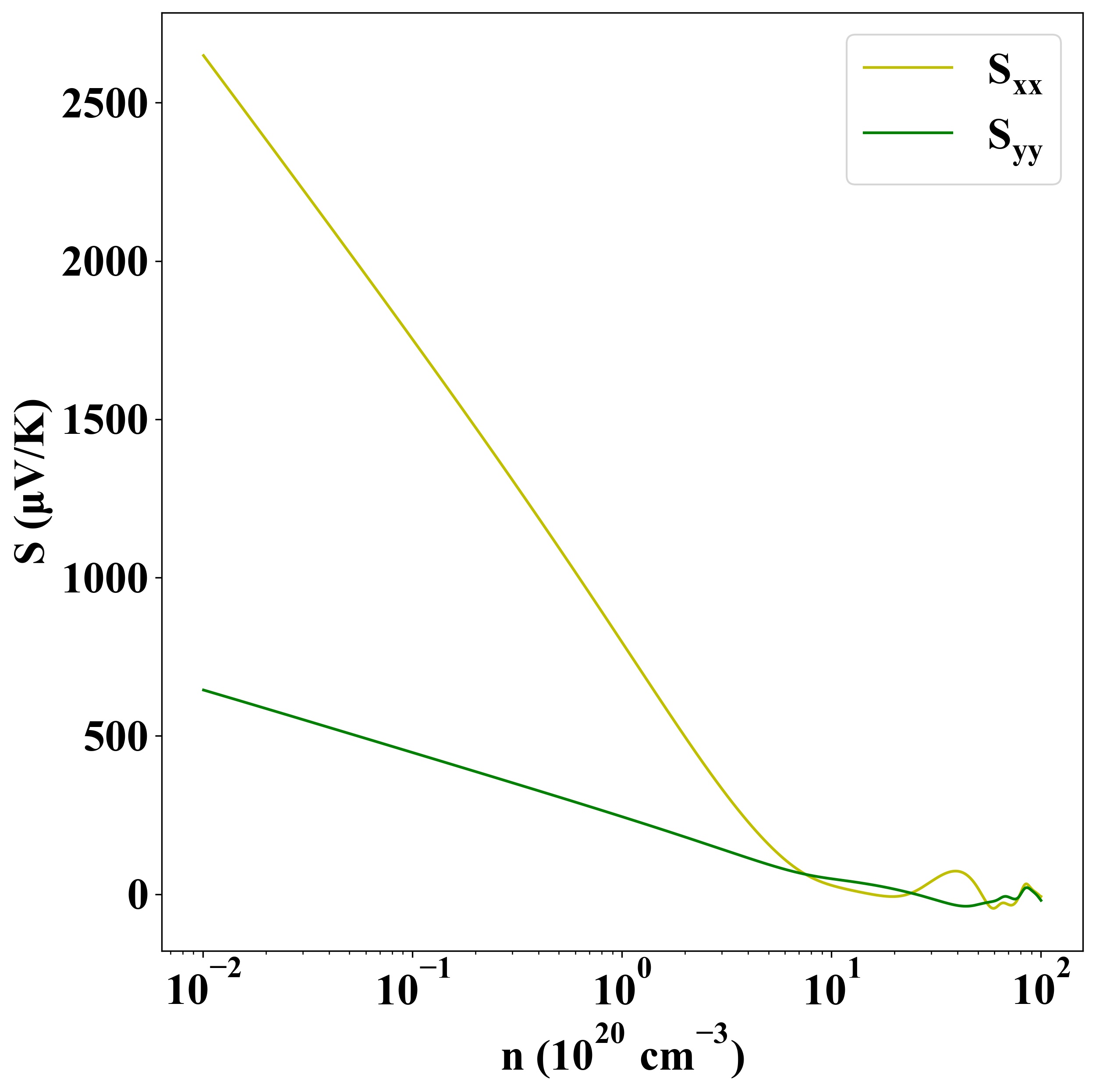
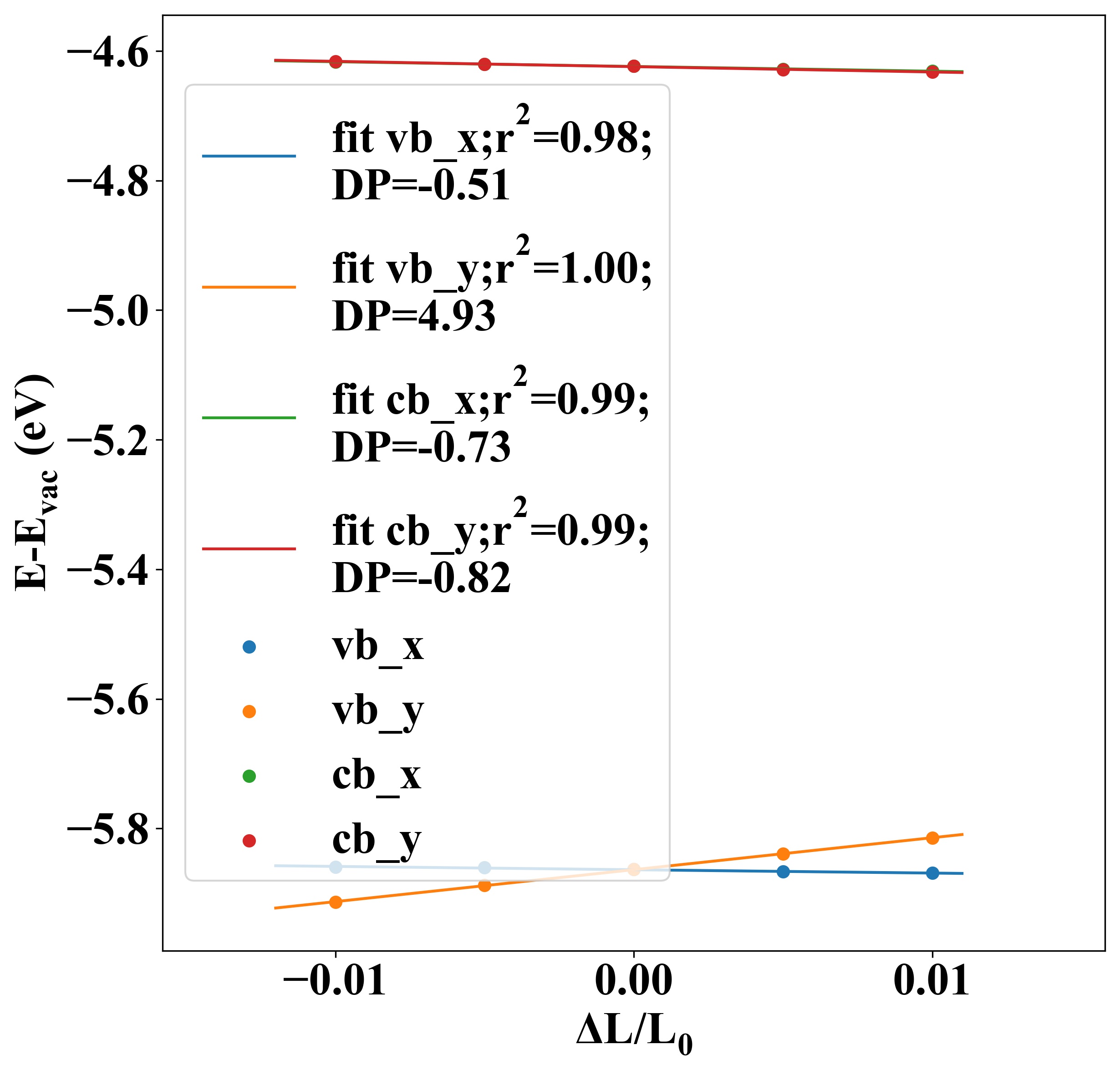
| Carrier type |
C2D (N/m) |
Edef (eV) |
μ (cm2V-1s-1) |
| x |
y |
x |
y |
x |
y |
| hole |
8.84 |
32.55 |
-0.51 |
4.93 |
-194.34 |
-4.44 |
| electron |
-0.73 |
-0.82 |
60.57 |
3667.29 |
| Property |
Value |
| from where |
JVASP-13596 |