Au2I2Se2
MatHub2d-1145-Au2I2Se2
| Property |
Value |
| Space group |
(59, 'Pmmn') |
| Crystal system |
rectangular |
| Magnetic |
Yes |
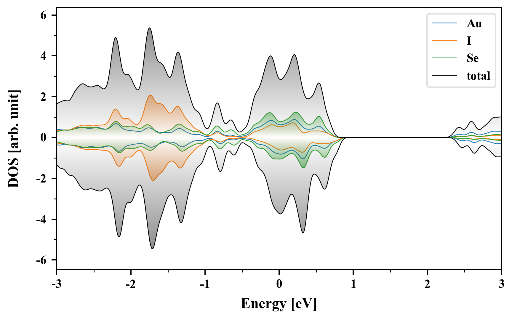
| Band gap (PBE) (eV) |
0.00 |
| Free energy (eV) |
-11.913 |
| Free energy / atom (eV) |
-1.985 |
Lattice Parameters (basic)
| a, b, c (Å): | 3.919 | 5.519 | 30.000 |
| α, β, γ (°): | 90.000 | 90.000 | 90.000 |
Lattice Parameters (computed)
| a, b, c (Å): | 3.847 | 5.671 | 30.000 |
| α, β, γ (°): | 90.000 | 90.000 | 90.000 |
| Property |
Value |
| Band gap |
0.00 eV |
| E-fermi |
-2.546 eV |
| Vacuum level |
2.369 eV |
| VBM |
-2.546 eV |
| CBM |
-2.545 eV |
| Work function |
4.915 eV |
| Direct gap |
No |
| Property |
Value |
| Band gap |
0.00 eV |
| E-fermi |
-2.546 eV |
| Vacuum level |
2.369 eV |
| VBM |
-2.546 eV |
| CBM |
-2.545 eV |
| Work function |
4.915 eV |
| Cij (N/m) |
xx |
yy |
xy |
| xx |
49.555 |
8.710 |
0.000 |
| yy |
8.710 |
21.009 |
0.000 |
| xy |
0.000 |
0.000 |
6.157 |
| Phonon mode at Γ point (THz) |
| Property |
Value |
| from where |
c2db-37 |