Au2I2O2
MatHub2d-1143-Au2I2O2
| Property |
Value |
| Space group |
(59, 'Pmmn') |
| Crystal system |
rectangular |
| Magnetic |
No |
| Band gap (PBE) (eV) |
0.00 |
| Free energy (eV) |
-14.094 |
| Free energy / atom (eV) |
-2.349 |
Lattice Parameters (basic)
| a, b, c (Å): | 3.748 | 4.246 | 30.000 |
| α, β, γ (°): | 90.000 | 90.000 | 90.000 |
Lattice Parameters (computed)
| a, b, c (Å): | 3.710 | 4.175 | 30.000 |
| α, β, γ (°): | 90.000 | 90.000 | 90.000 |
| Property |
Value |
| Band gap |
0.00 eV |
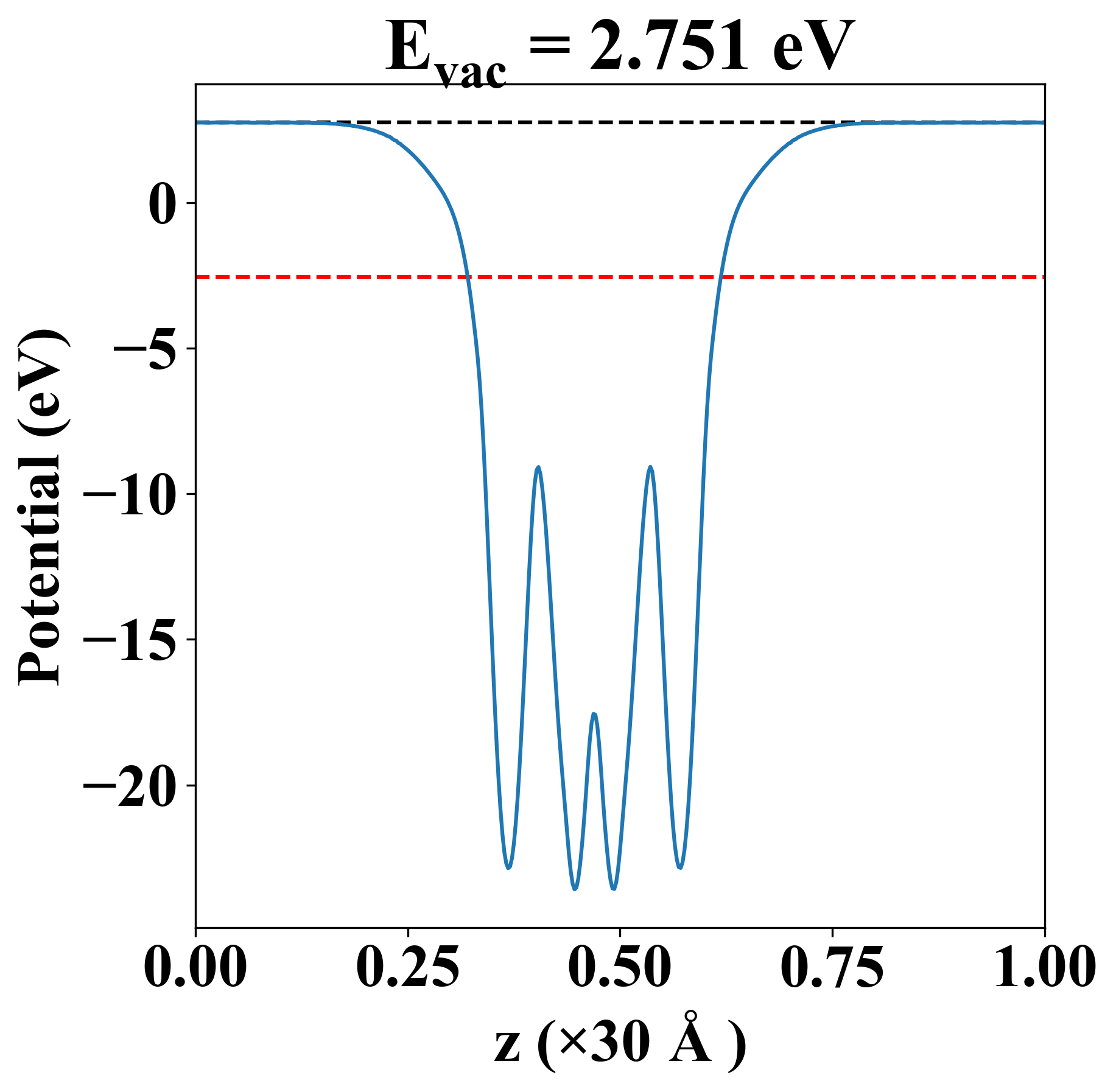
| E-fermi |
-2.553 eV |
| Vacuum level |
2.751 eV |
| VBM |
-2.553 eV |
| CBM |
-2.552 eV |
| Work function |
5.304 eV |
| Direct gap |
No |
| Property |
Value |
| Band gap |
0.00 eV |
| E-fermi |
-2.553 eV |
| Vacuum level |
2.751 eV |
| VBM |
-2.553 eV |
| CBM |
-2.552 eV |
| Work function |
5.304 eV |
| Cij (N/m) |
xx |
yy |
xy |
| xx |
46.665 |
12.724 |
0.000 |
| yy |
12.724 |
54.867 |
0.000 |
| xy |
0.000 |
0.000 |
12.262 |
| Phonon mode at Γ point (THz) |
| -4.759 |
| -2.112 |
| -0.002 |
| -0.001 |
| 0.005 |
| 0.767 |
| 1.200 |
| 2.346 |
| 2.992 |
| 3.262 |
| 3.834 |
| 4.034 |
| 4.464 |
| 6.197 |
| 7.815 |
| 8.792 |
| 13.446 |
| 13.710 |
| Property |
Value |
| from where |
c2db-35 |