Au2I2N2
MatHub2d-1142-Au2I2N2
| Property |
Value |
| Space group |
(59, 'Pmmn') |
| Crystal system |
rectangular |
| Magnetic |
No |
| Band gap (PBE) (eV) |
0.00 |
| Free energy (eV) |
-15.433 |
| Free energy / atom (eV) |
-2.572 |
Lattice Parameters (basic)
| a, b, c (Å): | 3.676 | 4.183 | 30.000 |
| α, β, γ (°): | 90.000 | 90.000 | 90.000 |
Lattice Parameters (computed)
| a, b, c (Å): | 3.648 | 4.152 | 30.000 |
| α, β, γ (°): | 90.000 | 90.000 | 90.000 |
| Property |
Value |
| Band gap |
0.00 eV |
| E-fermi |
-2.235 eV |
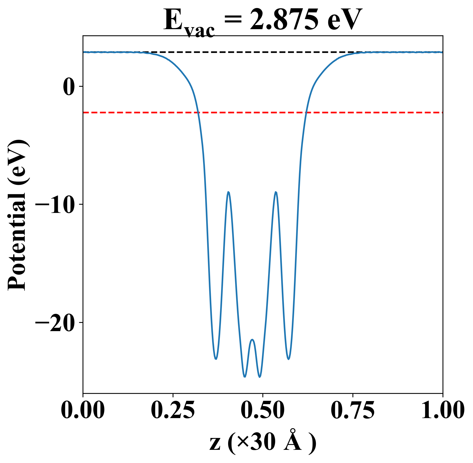
| Vacuum level |
2.875 eV |
| VBM |
-2.237 eV |
| CBM |
-2.231 eV |
| Work function |
5.110 eV |
| Direct gap |
No |
| Property |
Value |
| Band gap |
0.00 eV |
| E-fermi |
-2.235 eV |
| Vacuum level |
2.875 eV |
| VBM |
-2.237 eV |
| CBM |
-2.231 eV |
| Work function |
5.110 eV |
| Cij (N/m) |
xx |
yy |
xy |
| xx |
77.515 |
27.389 |
0.000 |
| yy |
27.389 |
110.529 |
0.000 |
| xy |
0.000 |
0.000 |
19.457 |
| Phonon mode at Γ point (THz) |
| -0.002 |
| -0.001 |
| 0.001 |
| 0.790 |
| 1.141 |
| 1.158 |
| 2.542 |
| 2.828 |
| 3.937 |
| 3.975 |
| 4.071 |
| 4.457 |
| 10.263 |
| 11.210 |
| 11.315 |
| 13.243 |
| 14.162 |
| 16.651 |
| Property |
Value |
| from where |
c2db-34 |