Au2Cl4
MatHub2d-1141-Au2Cl4
| Property |
Value |
| Space group |
(11, 'P2_1/m') |
| Crystal system |
rectangular |
| Magnetic |
Yes |
| Band gap (PBE) (eV) |
0.00 |
| Free energy (eV) |
-11.478 |
| Free energy / atom (eV) |
-1.913 |
Lattice Parameters (basic)
| a, b, c (Å): | 8.801 | 3.631 | 30.000 |
| α, β, γ (°): | 90.000 | 90.000 | 90.000 |
Lattice Parameters (computed)
| a, b, c (Å): | 8.548 | 3.596 | 30.000 |
| α, β, γ (°): | 90.000 | 90.000 | 90.000 |
| Property |
Value |
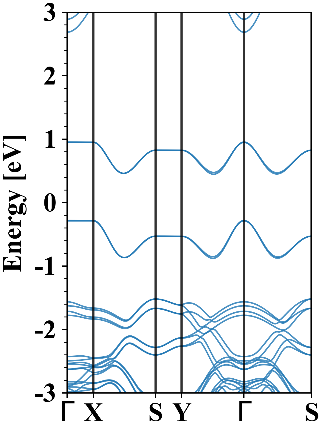
| Band gap |
0.00 eV |
| E-fermi |
-4.725 eV |
| Vacuum level |
1.546 eV |
| VBM |
-5.030 eV |
| CBM |
-4.366 eV |
| Work function |
6.271 eV |
| Direct gap |
No |
| Property |
Value |
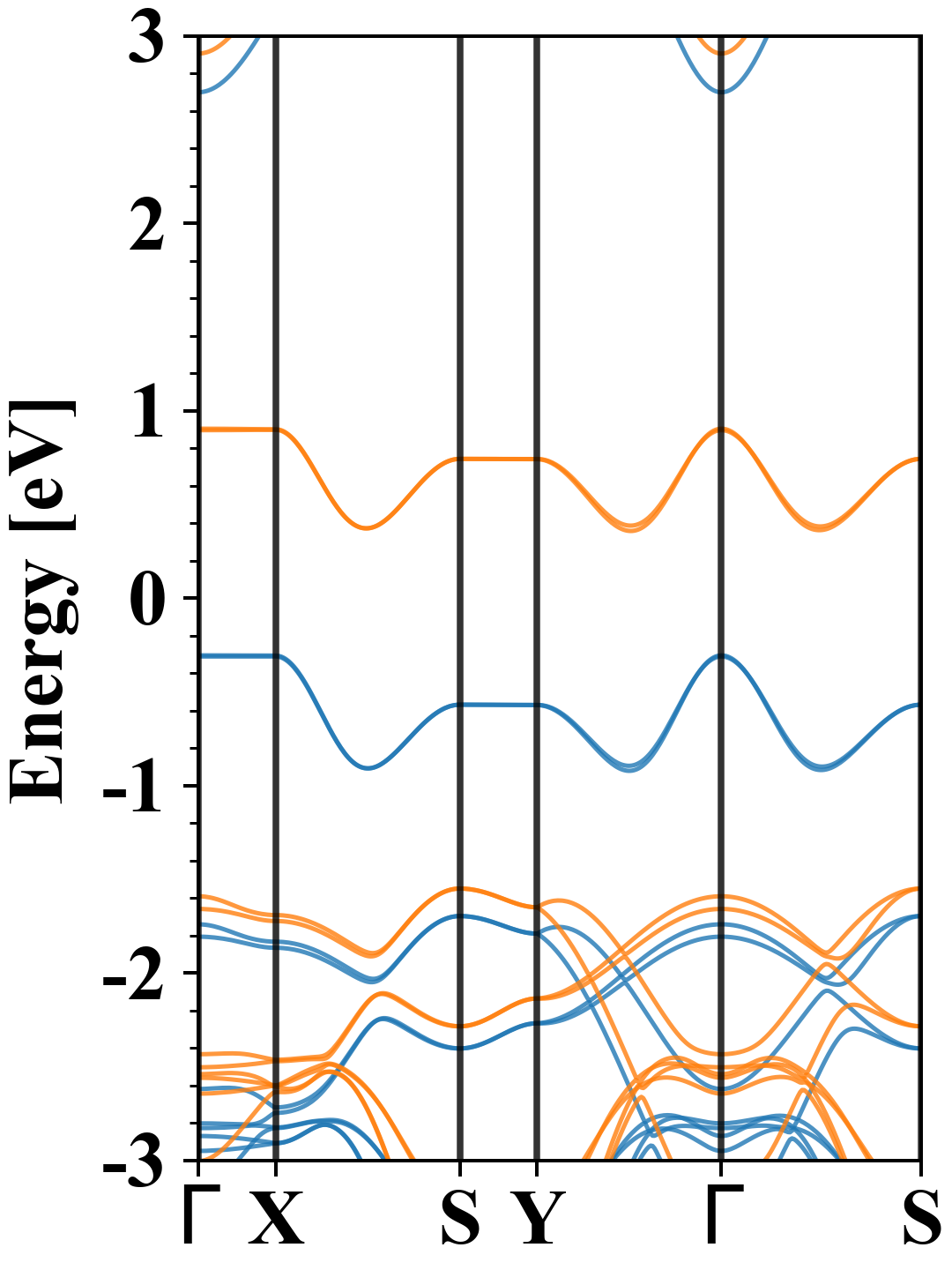
| Band gap |
0.73 eV |
| E-fermi |
-4.734 eV |
| VBM |
-5.016 eV |
| CBM |
-4.288 eV |
| Free energy (eV) |
-12.055 |
| Free energy / atom (eV) |
-2.009 |
| Property |
Value |
| Band gap |
0.00 eV |
| E-fermi |
-4.725 eV |
| Vacuum level |
1.546 eV |
| VBM |
-5.030 eV |
| CBM |
-4.366 eV |
| Work function |
6.271 eV |
| Cij (N/m) |
xx |
yy |
xy |
| xx |
2.065 |
0.393 |
0.000 |
| yy |
0.393 |
25.693 |
0.000 |
| xy |
0.000 |
0.000 |
0.738 |
| Phonon mode at Γ point (THz) |
| Property |
Value |
| from where |
c2db-1823 |