Au2Cl2Te4
MatHub2d-1140-Au2Cl2Te4
| Property |
Value |
| Space group |
(25, 'Pmm2') |
| Crystal system |
rectangular |
| Magnetic |
No |
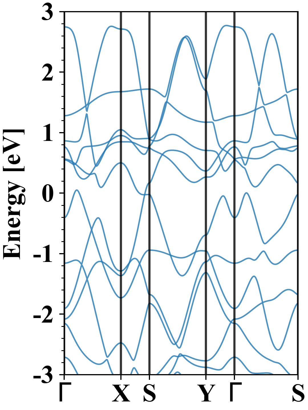
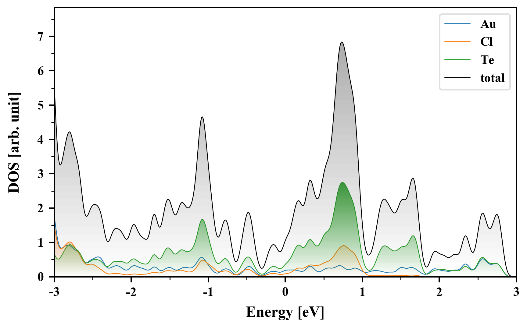
| Band gap (PBE) (eV) |
0.00 |
| Free energy (eV) |
-18.135 |
| Free energy / atom (eV) |
-2.267 |
Lattice Parameters (basic)
| a, b, c (Å): | 4.081 | 8.528 | 30.000 |
| α, β, γ (°): | 90.000 | 90.000 | 90.000 |
Lattice Parameters (computed)
| a, b, c (Å): | 4.205 | 8.356 | 30.000 |
| α, β, γ (°): | 90.000 | 90.000 | 90.000 |
| Property |
Value |
| Band gap |
0.00 eV |
| E-fermi |
-2.084 eV |
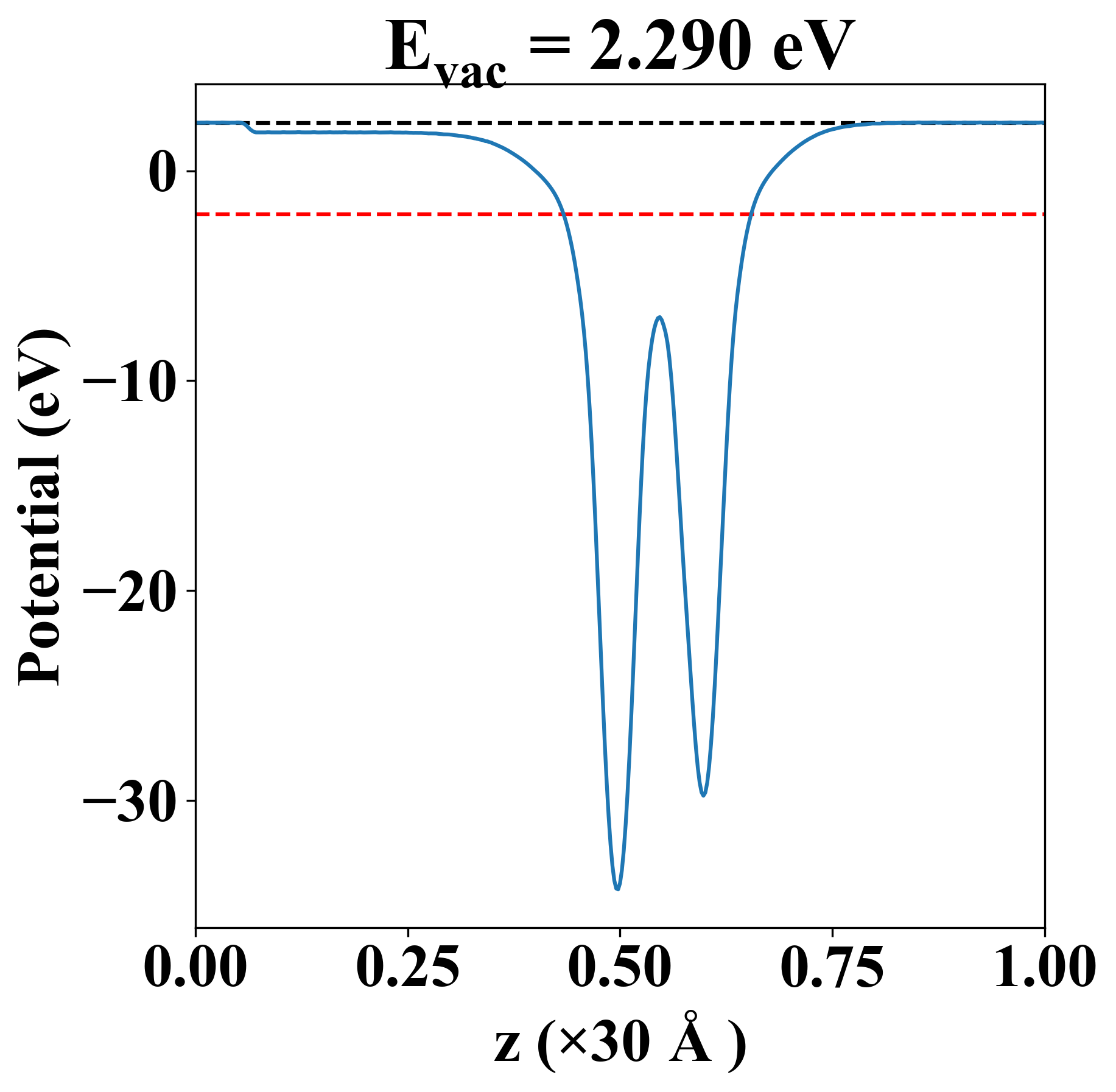
| Vacuum level |
2.290 eV |
| VBM |
-2.085 eV |
| CBM |
-2.082 eV |
| Work function |
4.374 eV |
| Direct gap |
No |
| Property |
Value |
| Band gap |
0.00 eV |
| E-fermi |
-2.084 eV |
| Vacuum level |
2.290 eV |
| VBM |
-2.085 eV |
| CBM |
-2.082 eV |
| Work function |
4.374 eV |
| Cij (N/m) |
xx |
yy |
xy |
| xx |
42.897 |
24.164 |
-0.000 |
| yy |
24.164 |
36.257 |
-0.000 |
| xy |
-0.000 |
-0.000 |
11.886 |
| Phonon mode at Γ point (THz) |
| Property |
Value |
| from where |
JVASP-19539 |