Au2Cl2Se2
MatHub2d-1139-Au2Cl2Se2
| Property |
Value |
| Space group |
(59, 'Pmmn') |
| Crystal system |
rectangular |
| Magnetic |
Yes |
| Band gap (PBE) (eV) |
0.00 |
| Free energy (eV) |
-13.251 |
| Free energy / atom (eV) |
-2.209 |
Lattice Parameters (basic)
| a, b, c (Å): | 3.695 | 5.559 | 30.000 |
| α, β, γ (°): | 90.000 | 90.000 | 90.000 |
Lattice Parameters (computed)
| a, b, c (Å): | 3.595 | 5.757 | 30.000 |
| α, β, γ (°): | 90.000 | 90.000 | 90.000 |
| Property |
Value |
| Band gap |
0.00 eV |
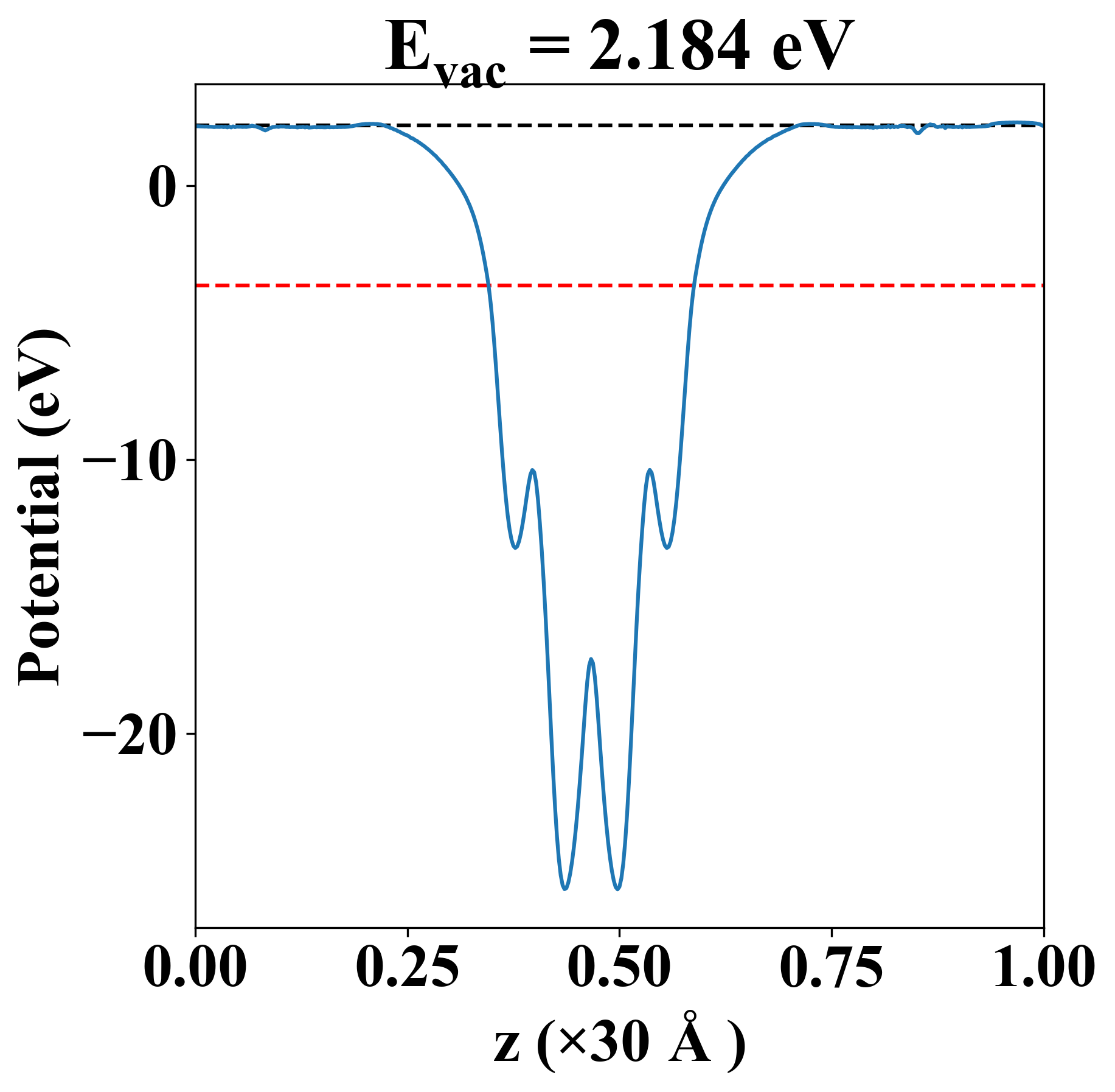
| E-fermi |
-3.641 eV |
| Vacuum level |
2.184 eV |
| VBM |
-3.641 eV |
| CBM |
-3.641 eV |
| Work function |
5.824 eV |
| Direct gap |
No |
| Property |
Value |
| Band gap |
0.00 eV |
| E-fermi |
-3.641 eV |
| Vacuum level |
2.184 eV |
| VBM |
-3.641 eV |
| CBM |
-3.641 eV |
| Work function |
5.824 eV |
| Cij (N/m) |
xx |
yy |
xy |
| xx |
37.598 |
8.142 |
0.000 |
| yy |
8.142 |
12.767 |
0.000 |
| xy |
0.000 |
0.000 |
6.454 |
| Phonon mode at Γ point (THz) |
| Property |
Value |
| from where |
c2db-33 |