Au2Cl2O2
MatHub2d-1138-Au2Cl2O2
| Property |
Value |
| Space group |
(59, 'Pmmn') |
| Crystal system |
rectangular |
| Magnetic |
|
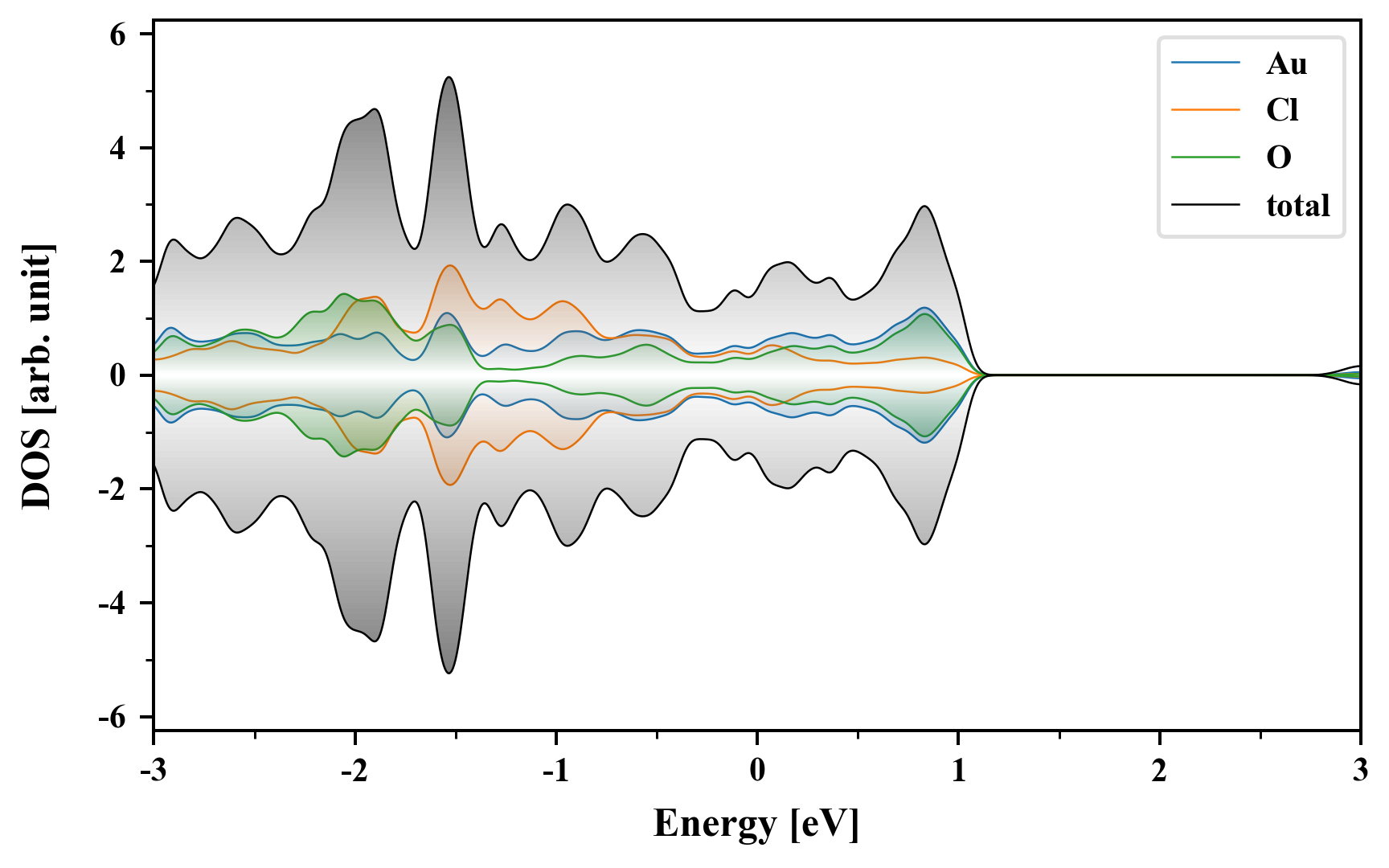
| Band gap (PBE) (eV) |
0.00 |
| Free energy (eV) |
-15.230 |
| Free energy / atom (eV) |
-2.538 |
Lattice Parameters (basic)
| a, b, c (Å): | 3.643 | 4.194 | 30.000 |
| α, β, γ (°): | 90.000 | 90.000 | 90.000 |
Lattice Parameters (computed)
| a, b, c (Å): | 3.750 | 3.937 | 30.000 |
| α, β, γ (°): | 90.000 | 90.000 | 90.000 |
| Property |
Value |
| Band gap |
0.00 eV |
| E-fermi |
-4.372 eV |
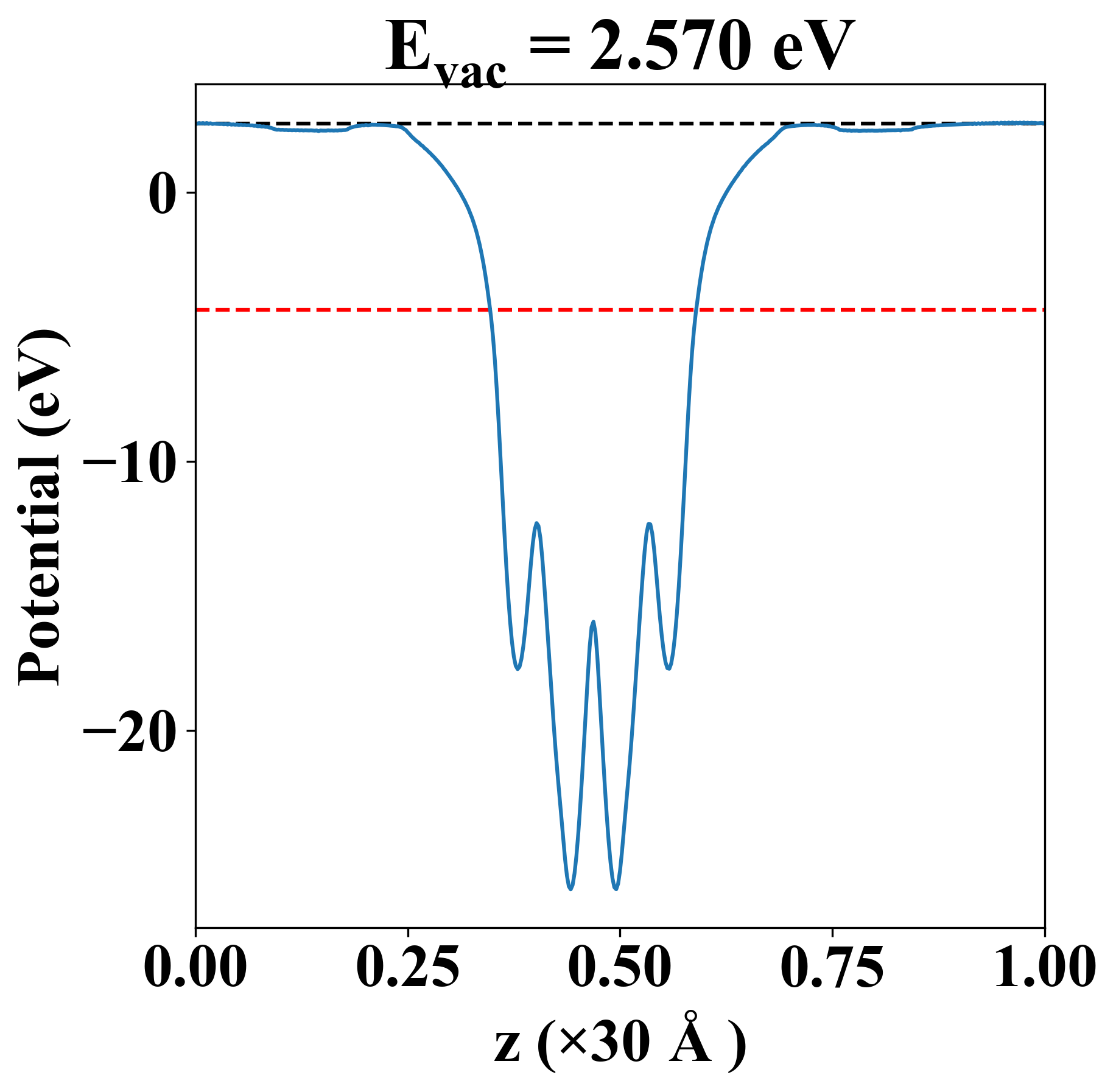
| Vacuum level |
2.570 eV |
| VBM |
-4.372 eV |
| CBM |
-4.370 eV |
| Work function |
6.942 eV |
| Direct gap |
No |
| Property |
Value |
| Band gap |
0.00 eV |
| E-fermi |
-4.372 eV |
| Vacuum level |
2.570 eV |
| VBM |
-4.372 eV |
| CBM |
-4.370 eV |
| Work function |
6.942 eV |
| Cij (N/m) |
xx |
yy |
xy |
| xx |
43.767 |
22.872 |
0.000 |
| yy |
22.872 |
116.703 |
0.000 |
| xy |
0.000 |
0.000 |
14.923 |
| Phonon mode at Γ point (THz) |
| -6.232 |
| -4.174 |
| -0.007 |
| -0.003 |
| 0.002 |
| 1.541 |
| 2.222 |
| 3.084 |
| 3.465 |
| 3.822 |
| 6.028 |
| 6.319 |
| 6.356 |
| 7.567 |
| 8.998 |
| 10.618 |
| 17.389 |
| 17.513 |
| Property |
Value |
| from where |
c2db-32 |