Au2Cl2N2
MatHub2d-1137-Au2Cl2N2
| Property |
Value |
| Space group |
(59, 'Pmmn') |
| Crystal system |
rectangular |
| Magnetic |
No |
| Band gap (PBE) (eV) |
0.00 |
| Free energy (eV) |
-17.062 |
| Free energy / atom (eV) |
-2.844 |
Lattice Parameters (basic)
| a, b, c (Å): | 3.450 | 4.249 | 30.000 |
| α, β, γ (°): | 90.000 | 90.000 | 90.000 |
Lattice Parameters (computed)
| a, b, c (Å): | 3.365 | 4.293 | 30.000 |
| α, β, γ (°): | 90.000 | 90.000 | 90.000 |
| Property |
Value |
| Band gap |
0.00 eV |
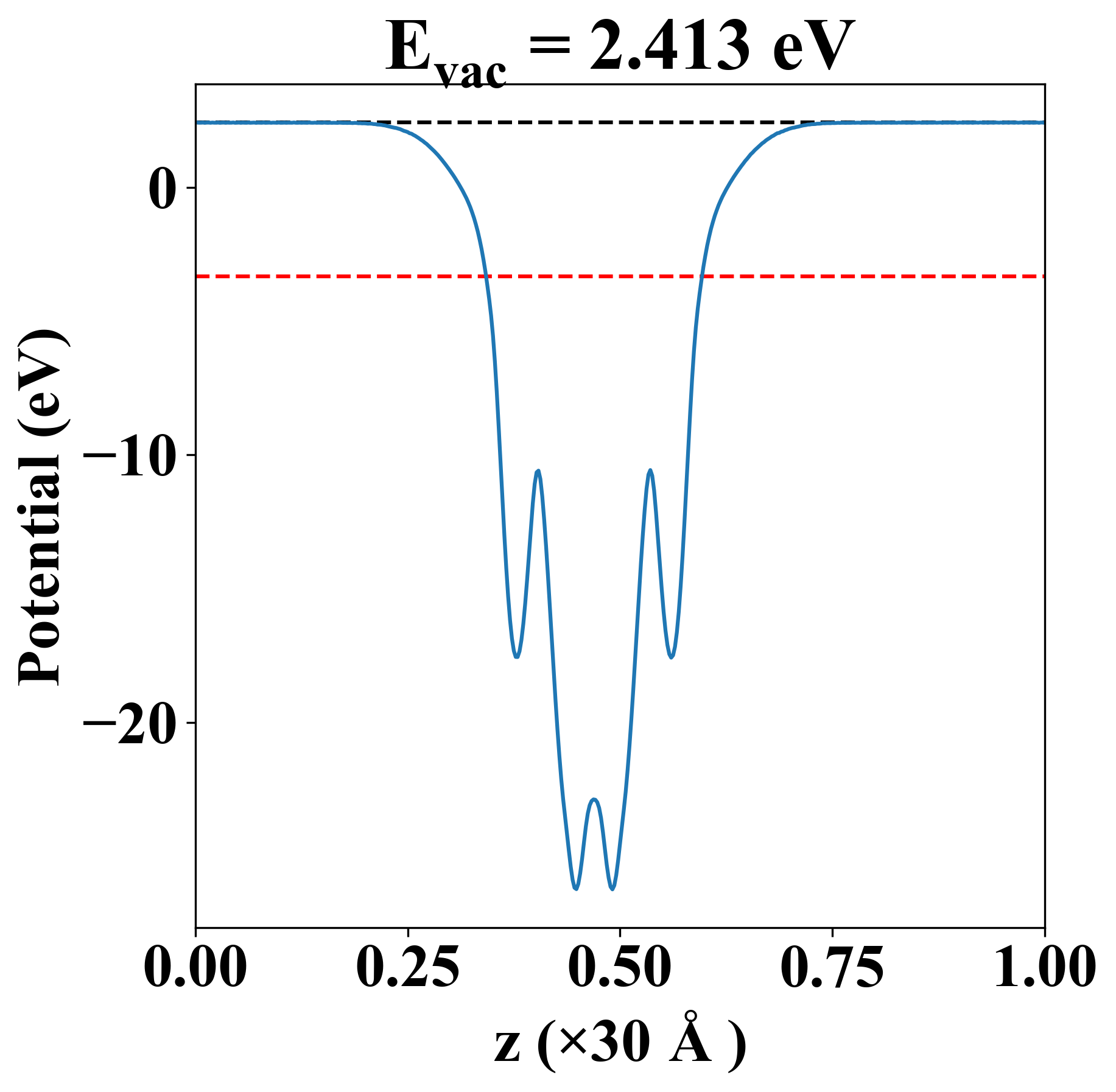
| E-fermi |
-3.343 eV |
| Vacuum level |
2.413 eV |
| VBM |
-3.346 eV |
| CBM |
-3.342 eV |
| Work function |
5.755 eV |
| Direct gap |
No |
| Property |
Value |
| Band gap |
0.00 eV |
| E-fermi |
-3.343 eV |
| Vacuum level |
2.413 eV |
| VBM |
-3.346 eV |
| CBM |
-3.342 eV |
| Work function |
5.755 eV |
| Cij (N/m) |
xx |
yy |
xy |
| xx |
75.931 |
38.801 |
0.000 |
| yy |
38.801 |
67.735 |
0.000 |
| xy |
0.000 |
0.000 |
17.899 |
| Phonon mode at Γ point (THz) |
| -0.003 |
| -0.002 |
| -0.002 |
| 1.665 |
| 2.150 |
| 2.367 |
| 3.493 |
| 4.067 |
| 5.287 |
| 6.381 |
| 7.891 |
| 7.894 |
| 11.982 |
| 12.130 |
| 12.630 |
| 12.989 |
| 14.619 |
| 15.072 |
| Property |
Value |
| from where |
c2db-31 |