Au2Br2Se2
MatHub2d-1136-Au2Br2Se2
| Property |
Value |
| Space group |
(59, 'Pmmn') |
| Crystal system |
rectangular |
| Magnetic |
Yes |
| Band gap (PBE) (eV) |
0.00 |
| Free energy (eV) |
-12.535 |
| Free energy / atom (eV) |
-2.089 |
Lattice Parameters (basic)
| a, b, c (Å): | 3.789 | 5.545 | 30.000 |
| α, β, γ (°): | 90.000 | 90.000 | 90.000 |
Lattice Parameters (computed)
| a, b, c (Å): | 3.756 | 5.663 | 30.000 |
| α, β, γ (°): | 90.000 | 90.000 | 90.000 |
| Property |
Value |
| Band gap |
0.00 eV |
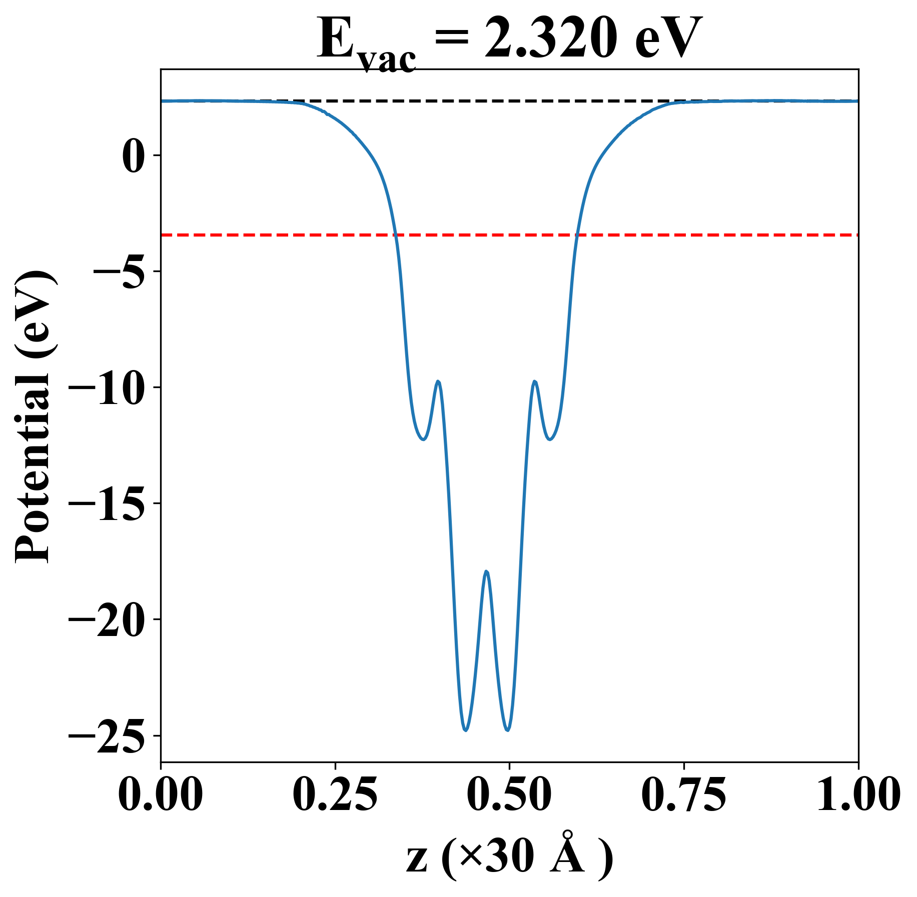
| E-fermi |
-3.451 eV |
| Vacuum level |
2.320 eV |
| VBM |
-3.451 eV |
| CBM |
-3.448 eV |
| Work function |
5.771 eV |
| Direct gap |
No |
| Property |
Value |
| Band gap |
0.00 eV |
| E-fermi |
-3.451 eV |
| Vacuum level |
2.320 eV |
| VBM |
-3.451 eV |
| CBM |
-3.448 eV |
| Work function |
5.771 eV |
| Cij (N/m) |
xx |
yy |
xy |
| xx |
39.265 |
8.513 |
0.000 |
| yy |
8.513 |
20.841 |
0.000 |
| xy |
0.000 |
0.000 |
6.931 |
| Phonon mode at Γ point (THz) |
| Property |
Value |
| from where |
c2db-30 |