Au2Br2S2
MatHub2d-1135-Au2Br2S2
| Property |
Value |
| Space group |
(59, 'Pmmn') |
| Crystal system |
rectangular |
| Magnetic |
Yes |
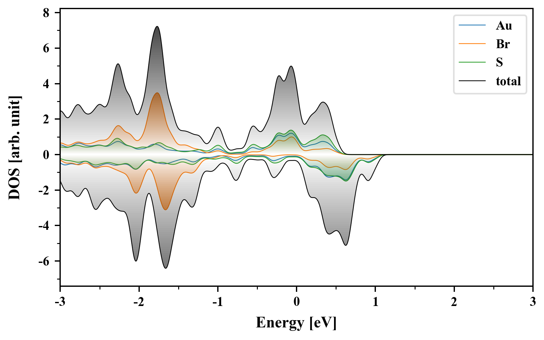
| Band gap (PBE) (eV) |
0.00 |
| Free energy (eV) |
-13.160 |
| Free energy / atom (eV) |
-2.193 |
Lattice Parameters (basic)
| a, b, c (Å): | 3.753 | 5.267 | 30.000 |
| α, β, γ (°): | 90.000 | 90.000 | 90.000 |
Lattice Parameters (computed)
| a, b, c (Å): | 3.698 | 5.447 | 30.000 |
| α, β, γ (°): | 90.000 | 90.000 | 90.000 |
| Property |
Value |
| Band gap |
0.00 eV |
| E-fermi |
-3.472 eV |
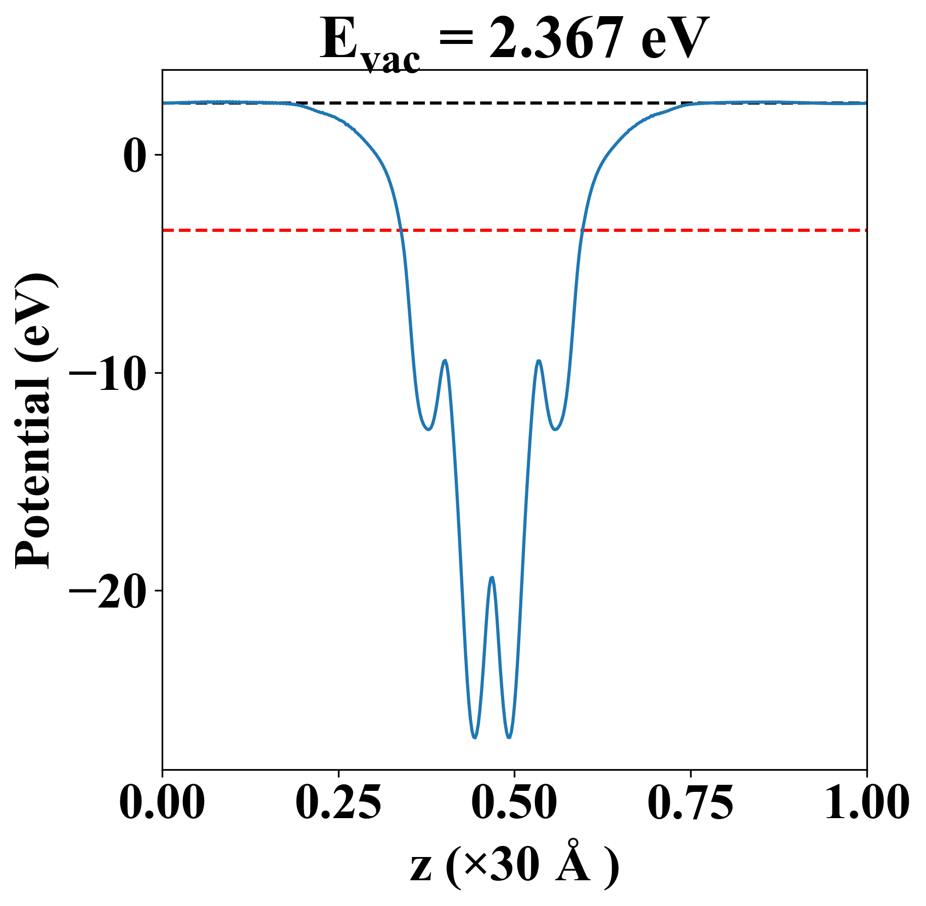
| Vacuum level |
2.367 eV |
| VBM |
-3.473 eV |
| CBM |
-3.471 eV |
| Work function |
5.839 eV |
| Direct gap |
No |
| Property |
Value |
| Band gap |
0.00 eV |
| E-fermi |
-3.472 eV |
| Vacuum level |
2.367 eV |
| VBM |
-3.473 eV |
| CBM |
-3.471 eV |
| Work function |
5.839 eV |
| Cij (N/m) |
xx |
yy |
xy |
| xx |
49.607 |
16.219 |
0.000 |
| yy |
16.219 |
11.851 |
0.000 |
| xy |
0.000 |
0.000 |
8.926 |
| Phonon mode at Γ point (THz) |
| -0.010 |
| -0.010 |
| -0.003 |
| 0.823 |
| 1.152 |
| 1.369 |
| 1.738 |
| 1.827 |
| 1.891 |
| 2.104 |
| 4.824 |
| 4.824 |
| 5.042 |
| 6.700 |
| 6.884 |
| 7.310 |
| 7.517 |
| 7.578 |
| Property |
Value |
| from where |
c2db-28 |