Au2Br2N2
MatHub2d-1133-Au2Br2N2
| Property |
Value |
| Space group |
(59, 'Pmmn') |
| Crystal system |
rectangular |
| Magnetic |
|
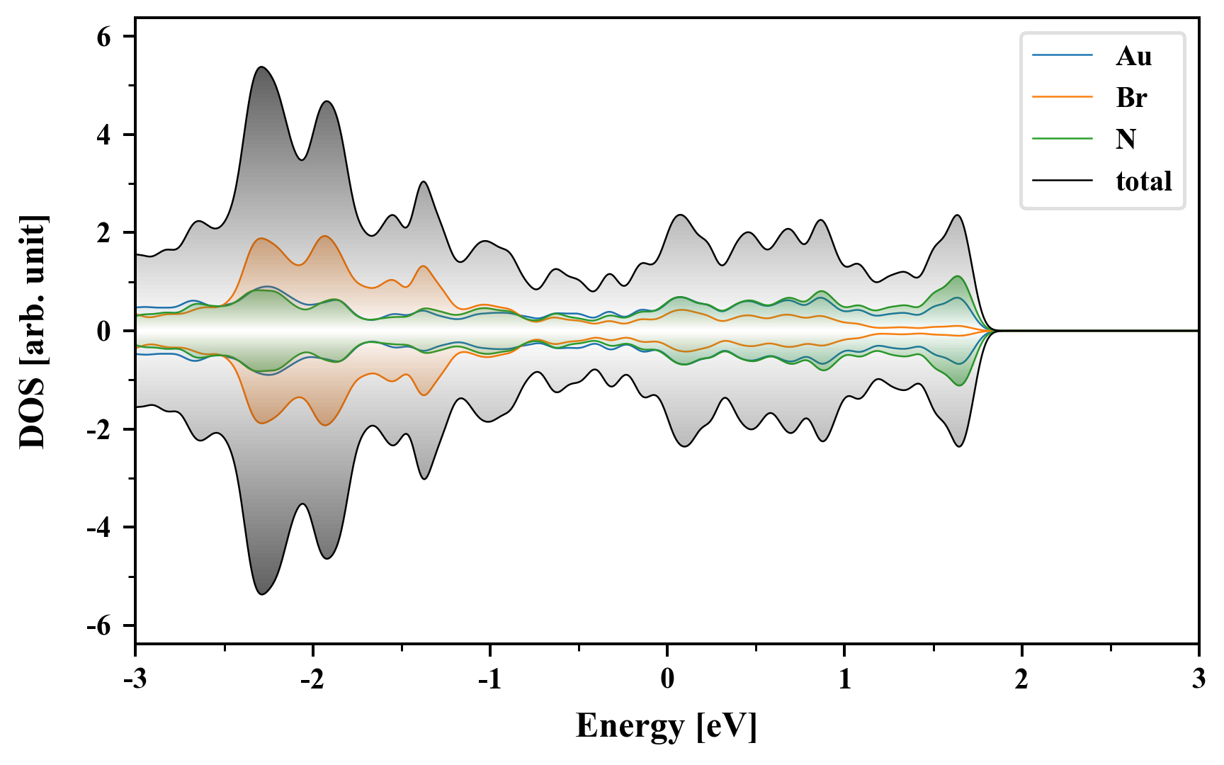
| Band gap (PBE) (eV) |
0.00 |
| Free energy (eV) |
-16.215 |
| Free energy / atom (eV) |
-2.703 |
Lattice Parameters (basic)
| a, b, c (Å): | 3.544 | 4.204 | 30.000 |
| α, β, γ (°): | 90.000 | 90.000 | 90.000 |
Lattice Parameters (computed)
| a, b, c (Å): | 3.509 | 4.185 | 30.000 |
| α, β, γ (°): | 90.000 | 90.000 | 90.000 |
| Property |
Value |
| Band gap |
0.00 eV |
| E-fermi |
-3.165 eV |
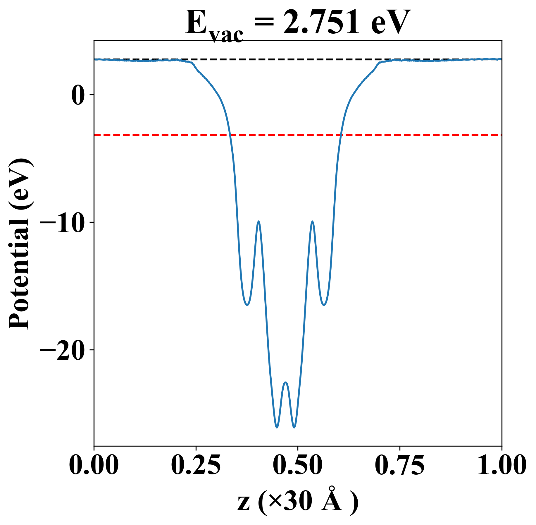
| Vacuum level |
2.751 eV |
| VBM |
-3.165 eV |
| CBM |
-3.165 eV |
| Work function |
5.916 eV |
| Direct gap |
No |
| Property |
Value |
| Band gap |
0.00 eV |
| E-fermi |
-3.165 eV |
| Vacuum level |
2.751 eV |
| VBM |
-3.165 eV |
| CBM |
-3.165 eV |
| Work function |
5.916 eV |
| Cij (N/m) |
xx |
yy |
xy |
| xx |
77.305 |
32.041 |
0.000 |
| yy |
32.041 |
96.217 |
0.000 |
| xy |
0.000 |
0.000 |
19.941 |
| Phonon mode at Γ point (THz) |
| -0.007 |
| -0.002 |
| -0.001 |
| 1.090 |
| 1.428 |
| 1.554 |
| 3.263 |
| 3.395 |
| 4.100 |
| 4.789 |
| 5.237 |
| 5.449 |
| 10.926 |
| 11.878 |
| 12.085 |
| 13.710 |
| 14.070 |
| 16.341 |
| Property |
Value |
| from where |
c2db-26 |