Au1K1Se2
MatHub2d-1132-Au1K1Se2
| Property |
Value |
| Space group |
(10, 'P2/m') |
| Crystal system |
rectangular |
| Magnetic |
|
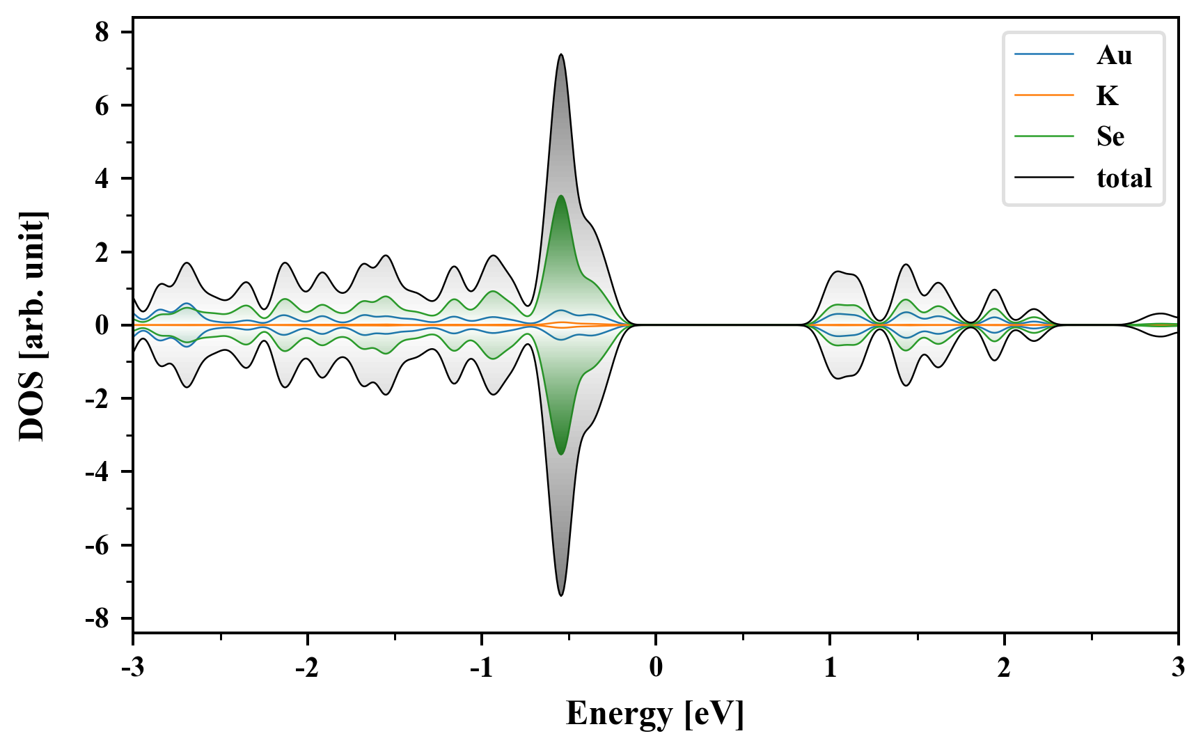
| Band gap (PBE) (eV) |
1.18 |
| Free energy (eV) |
-11.154 |
| Free energy / atom (eV) |
-2.788 |
Lattice Parameters (basic)
| a, b, c (Å): | 6.732 | 3.757 | 30.000 |
| α, β, γ (°): | 90.000 | 90.000 | 90.000 |
Lattice Parameters (computed)
| a, b, c (Å): | 6.963 | 3.780 | 30.000 |
| α, β, γ (°): | 90.000 | 90.000 | 90.000 |
| Property |
Value |
| Band gap |
1.18 eV |
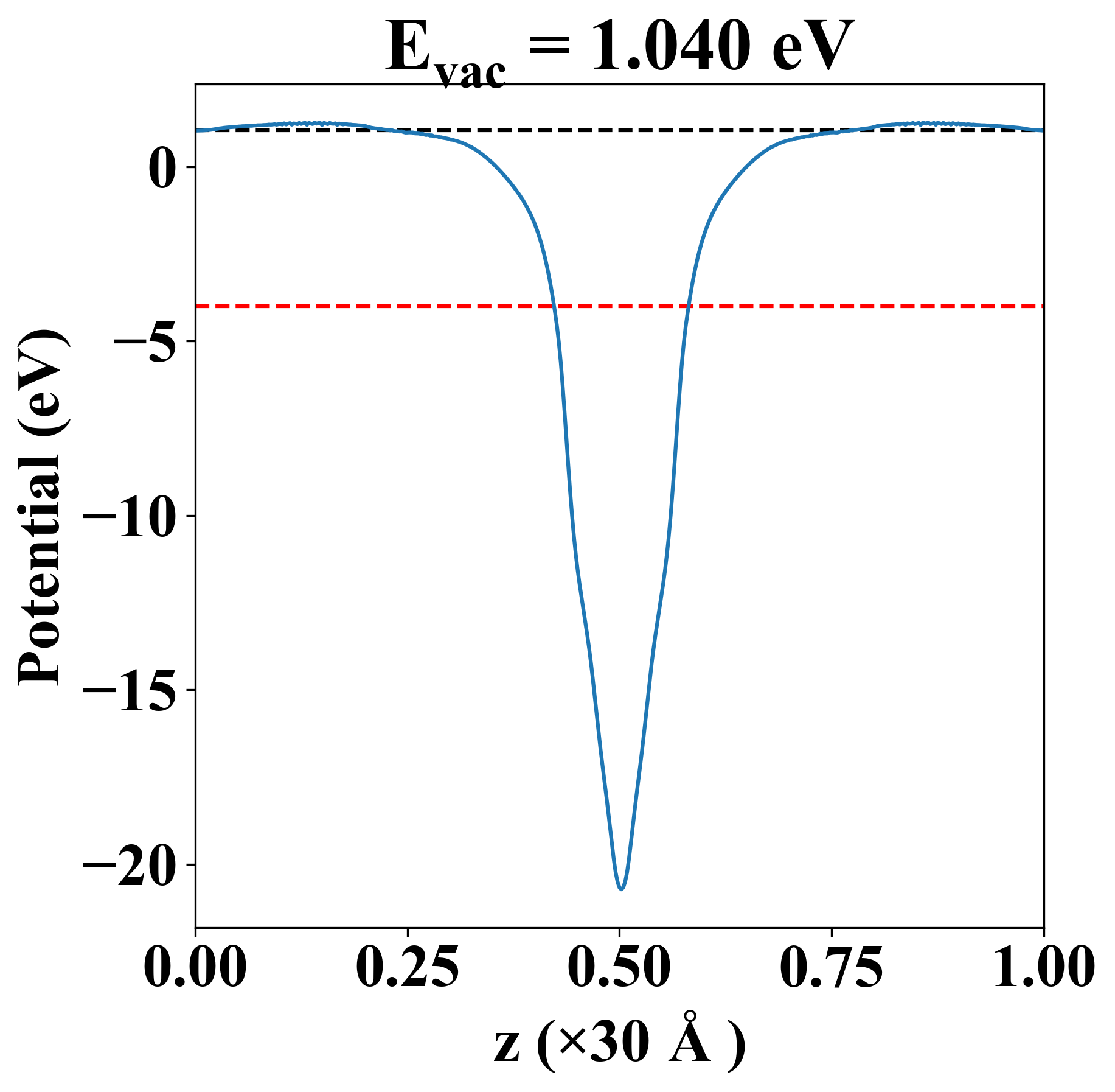
| E-fermi |
-4.002 eV |
| Vacuum level |
1.040 eV |
| VBM |
-4.331 eV |
| CBM |
-3.149 eV |
| Work function |
5.042 eV |
| Direct gap |
No |
| Property |
Value |
| Band gap |
1.19 eV |
| E-fermi |
-4.069 eV |
| VBM |
-4.329 eV |
| CBM |
-3.143 eV |
| Free energy (eV) |
-11.485 |
| Free energy / atom (eV) |
-2.871 |
| Property |
Value |
| Band gap |
1.18 eV |
| E-fermi |
-4.002 eV |
| Vacuum level |
1.040 eV |
| VBM |
-4.331 eV |
| CBM |
-3.149 eV |
| Work function |
5.042 eV |
| Cij (N/m) |
xx |
yy |
xy |
| xx |
4.155 |
-0.901 |
-0.000 |
| yy |
-0.901 |
35.692 |
-0.000 |
| xy |
-0.000 |
-0.000 |
5.684 |
| Phonon mode at Γ point (THz) |
| Property |
Value |
| from where |
JVASP-8972 |