As8S6
MatHub2d-1131-As8S6
| Property |
Value |
| Space group |
(11, 'P2_1/m') |
| Crystal system |
rectangular |
| Magnetic |
No |
| Band gap (PBE) (eV) |
2.45 |
| Free energy (eV) |
-63.585 |
| Free energy / atom (eV) |
-4.542 |
Lattice Parameters (basic)
| a, b, c (Å): | 6.850 | 7.087 | 30.000 |
| α, β, γ (°): | 90.000 | 90.000 | 90.000 |
Lattice Parameters (computed)
| a, b, c (Å): | 7.366 | 7.985 | 30.000 |
| α, β, γ (°): | 90.000 | 90.000 | 90.000 |
| Property |
Value |
| Band gap |
2.45 eV |
| E-fermi |
-3.852 eV |
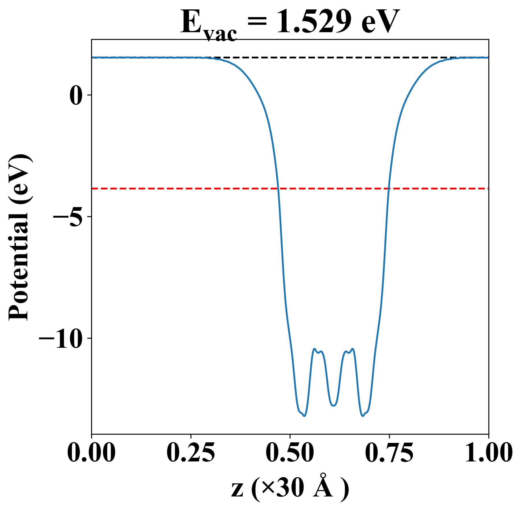
| Vacuum level |
1.529 eV |
| VBM |
-4.112 eV |
| CBM |
-1.660 eV |
| Work function |
5.382 eV |
| Direct gap |
Yes |
| Property |
Value |
| Band gap |
2.45 eV |
| E-fermi |
-3.852 eV |
| Vacuum level |
1.529 eV |
| VBM |
-4.112 eV |
| CBM |
-1.660 eV |
| Work function |
5.382 eV |
| Cij (N/m) |
xx |
yy |
xy |
| xx |
1.747 |
0.384 |
0.000 |
| yy |
0.384 |
51.746 |
-0.000 |
| xy |
0.000 |
-0.000 |
0.001 |
| Phonon mode at Γ point (THz) |
| Property |
Value |
| from where |
JVASP-6940 |