As4O6
MatHub2d-1130-As4O6
| Property |
Value |
| Space group |
(4, 'P2_1') |
| Crystal system |
rectangular |
| Magnetic |
No |
| Band gap (PBE) (eV) |
3.89 |
| Free energy (eV) |
-60.421 |
| Free energy / atom (eV) |
-6.042 |
Lattice Parameters (basic)
| a, b, c (Å): | 8.277 | 4.558 | 30.000 |
| α, β, γ (°): | 90.000 | 90.000 | 90.000 |
Lattice Parameters (computed)
| a, b, c (Å): | 8.427 | 4.675 | 30.000 |
| α, β, γ (°): | 90.000 | 90.000 | 90.000 |
| Property |
Value |
| Band gap |
3.89 eV |
| E-fermi |
-4.867 eV |
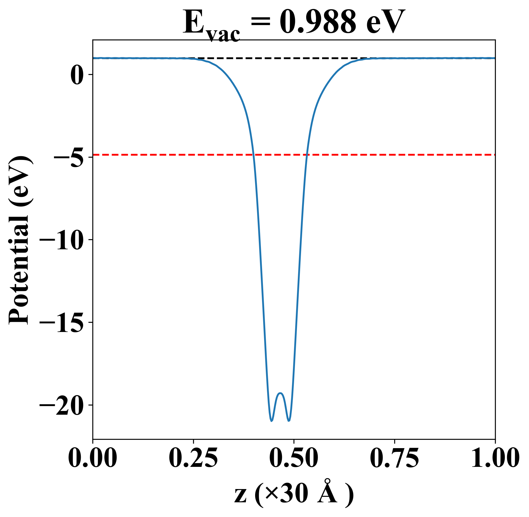
| Vacuum level |
0.988 eV |
| VBM |
-5.140 eV |
| CBM |
-1.253 eV |
| Work function |
5.855 eV |
| Direct gap |
No |
| Property |
Value |
| Band gap |
3.86 eV |
| E-fermi |
-4.920 eV |
| VBM |
-5.142 eV |
| CBM |
-1.278 eV |
| Free energy (eV) |
-60.456 |
| Free energy / atom (eV) |
-6.046 |
| Property |
Value |
| Band gap |
3.89 eV |
| E-fermi |
-4.867 eV |
| Vacuum level |
0.988 eV |
| VBM |
-5.140 eV |
| CBM |
-1.253 eV |
| Work function |
5.855 eV |
| Cij (N/m) |
xx |
yy |
xy |
| xx |
16.579 |
3.125 |
0.000 |
| yy |
3.125 |
18.188 |
0.000 |
| xy |
0.000 |
0.000 |
5.938 |
| Phonon mode at Γ point (THz) |
| Property |
Value |
| from where |
JVASP-6451 |