As2O8Sb2
MatHub2d-1129-As2O8Sb2
| Property |
Value |
| Space group |
(11, 'P2_1/m') |
| Crystal system |
rectangular |
| Magnetic |
No |
| Band gap (PBE) (eV) |
3.42 |
| Free energy (eV) |
-72.141 |
| Free energy / atom (eV) |
-6.012 |
Lattice Parameters (basic)
| a, b, c (Å): | 4.764 | 7.091 | 30.000 |
| α, β, γ (°): | 90.000 | 90.000 | 90.000 |
Lattice Parameters (computed)
| a, b, c (Å): | 4.958 | 7.110 | 30.000 |
| α, β, γ (°): | 90.000 | 90.000 | 90.000 |
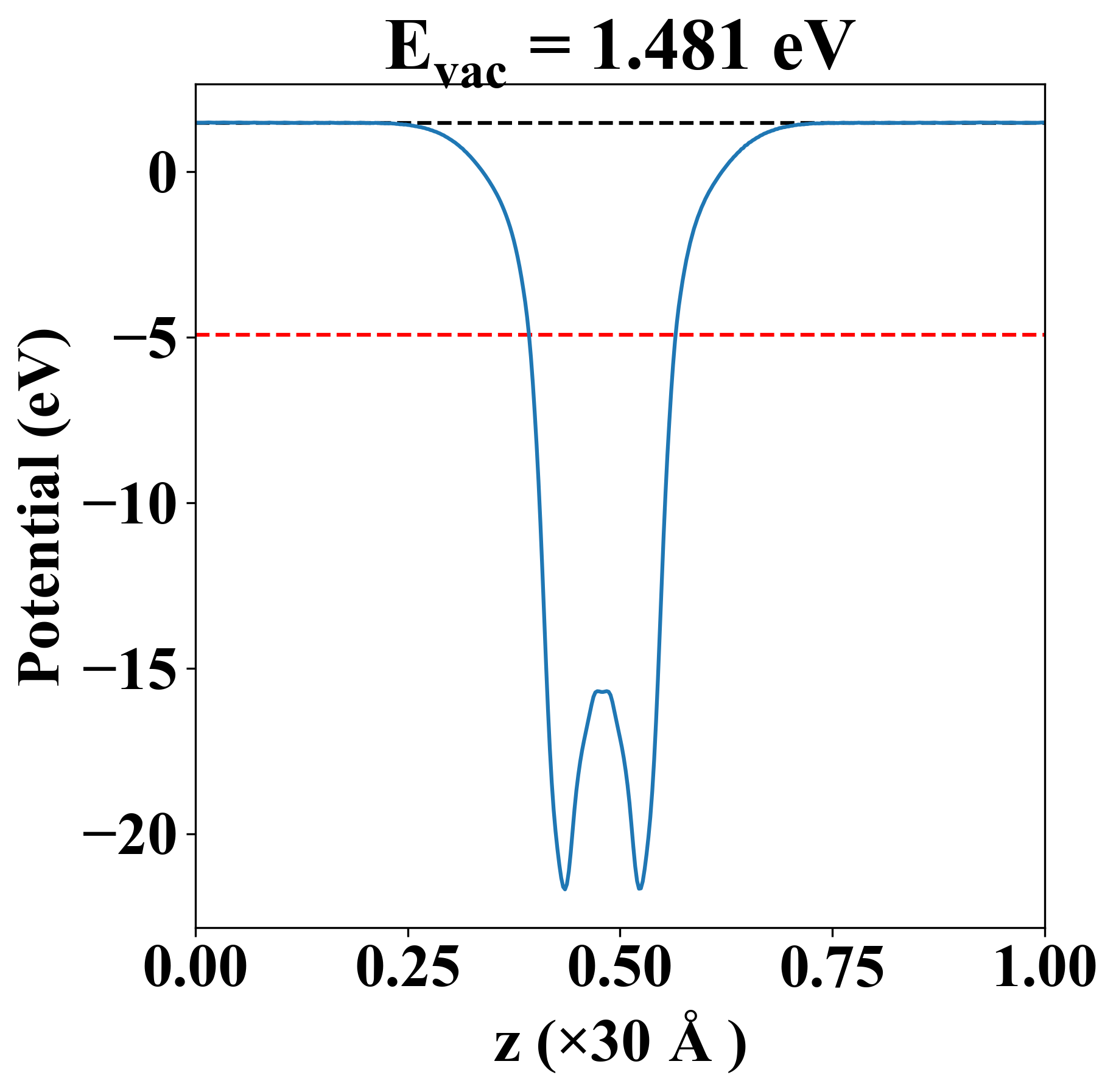
| Property |
Value |
| Band gap |
3.42 eV |
| E-fermi |
-4.931 eV |
| Vacuum level |
1.481 eV |
| VBM |
-5.242 eV |
| CBM |
-1.819 eV |
| Work function |
6.411 eV |
| Direct gap |
No |
| Property |
Value |
| Band gap |
3.36 eV |
| E-fermi |
-4.934 eV |
| VBM |
-5.246 eV |
| CBM |
-1.886 eV |
| Free energy (eV) |
-72.232 |
| Free energy / atom (eV) |
-6.019 |
| Property |
Value |
| Band gap |
3.42 eV |
| E-fermi |
-4.931 eV |
| Vacuum level |
1.481 eV |
| VBM |
-5.242 eV |
| CBM |
-1.819 eV |
| Work function |
6.411 eV |
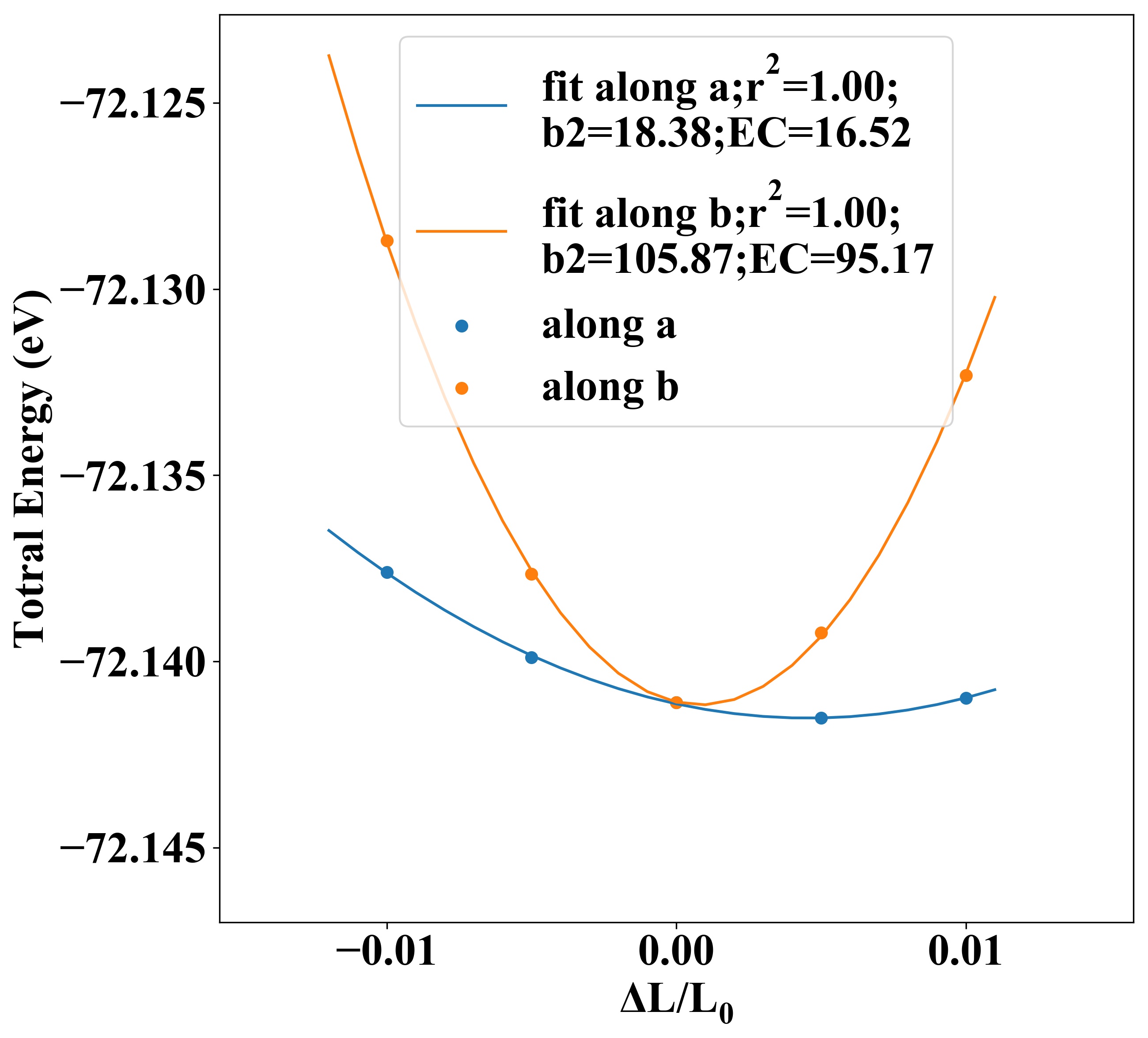
| Cij (N/m) |
xx |
yy |
xy |
| xx |
16.783 |
5.615 |
0.000 |
| yy |
5.615 |
97.341 |
0.000 |
| xy |
0.000 |
0.000 |
4.074 |
| Phonon mode at Γ point (THz) |
| -0.010 |
| -0.006 |
| -0.005 |
| 1.124 |
| 1.828 |
| 2.400 |
| 2.910 |
| 3.056 |
| 3.657 |
| 4.536 |
| 4.983 |
| 5.243 |
| 5.459 |
| 5.511 |
| 6.185 |
| 6.756 |
| 7.452 |
| 7.901 |
| 8.113 |
| 8.652 |
| 8.665 |
| 10.525 |
| 10.715 |
| 10.846 |
| 12.547 |
| 12.778 |
| 14.846 |
| 15.612 |
| 20.714 |
| 20.743 |
| 21.951 |
| 22.731 |
| 22.821 |
| 23.758 |
| 24.495 |
| 25.966 |
| Carrier type |
C2D (N/m) |
Edef (eV) |
μ (cm2V-1s-1) |
| x |
y |
x |
y |
x |
y |
| hole |
16.52 |
95.17 |
-0.61 |
-4.73 |
-12.58 |
-94.16 |
| electron |
-0.94 |
-5.57 |
245.17 |
143.78 |
| Property |
Value |
| from where |
JVASP-31418 |