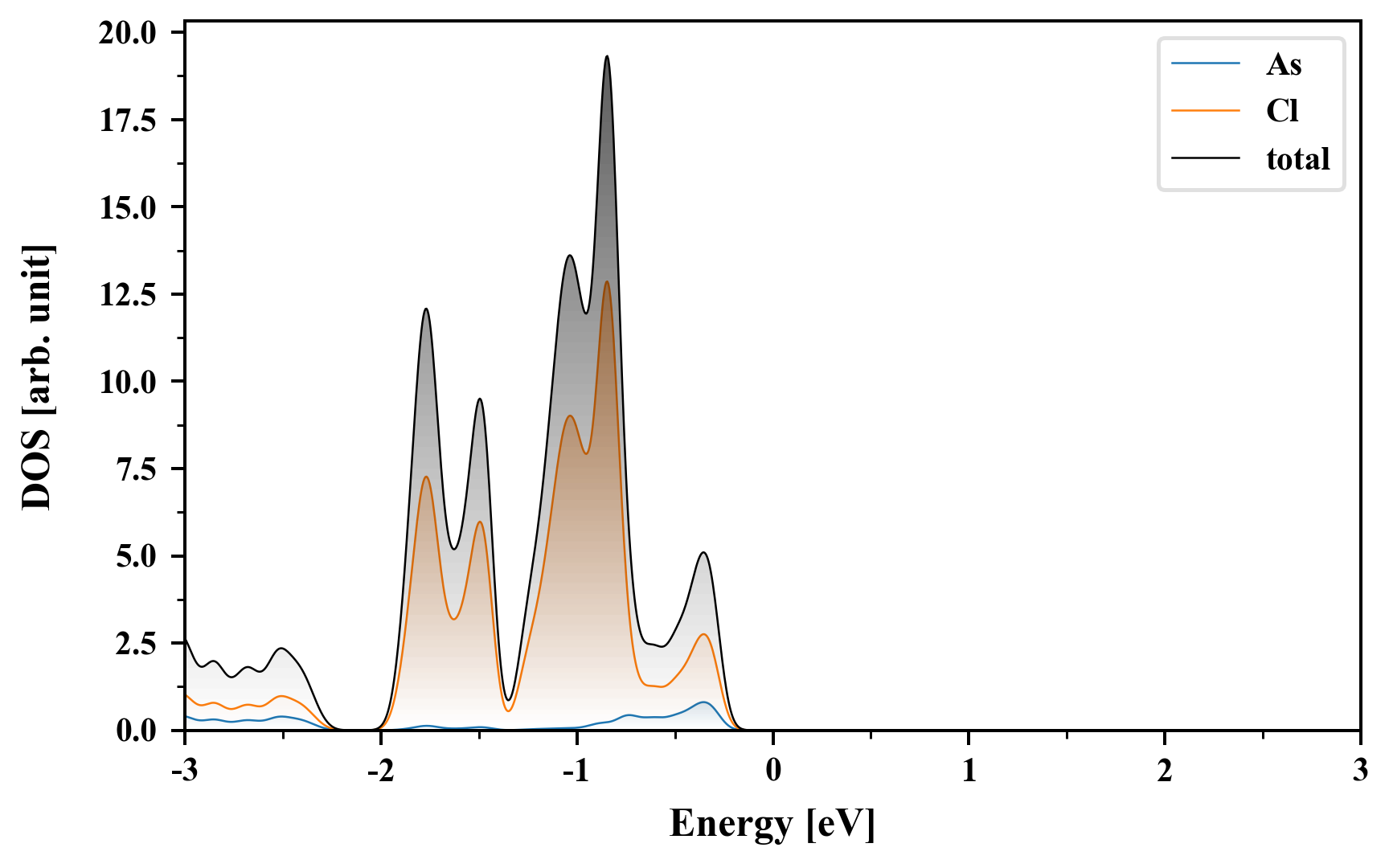
As2Cl6
MatHub2d-1128-As2Cl6
| Property |
Value |
| Space group |
(11, 'P2_1/m') |
| Crystal system |
rectangular |
| Magnetic |
No |
| Band gap (PBE) (eV) |
4.04 |
| Free energy (eV) |
-26.118 |
| Free energy / atom (eV) |
-3.265 |
Lattice Parameters (basic)
| a, b, c (Å): | 4.085 | 9.434 | 30.000 |
| α, β, γ (°): | 90.000 | 90.000 | 90.000 |
Lattice Parameters (computed)
| a, b, c (Å): | 4.468 | 10.420 | 30.000 |
| α, β, γ (°): | 90.000 | 90.000 | 90.000 |
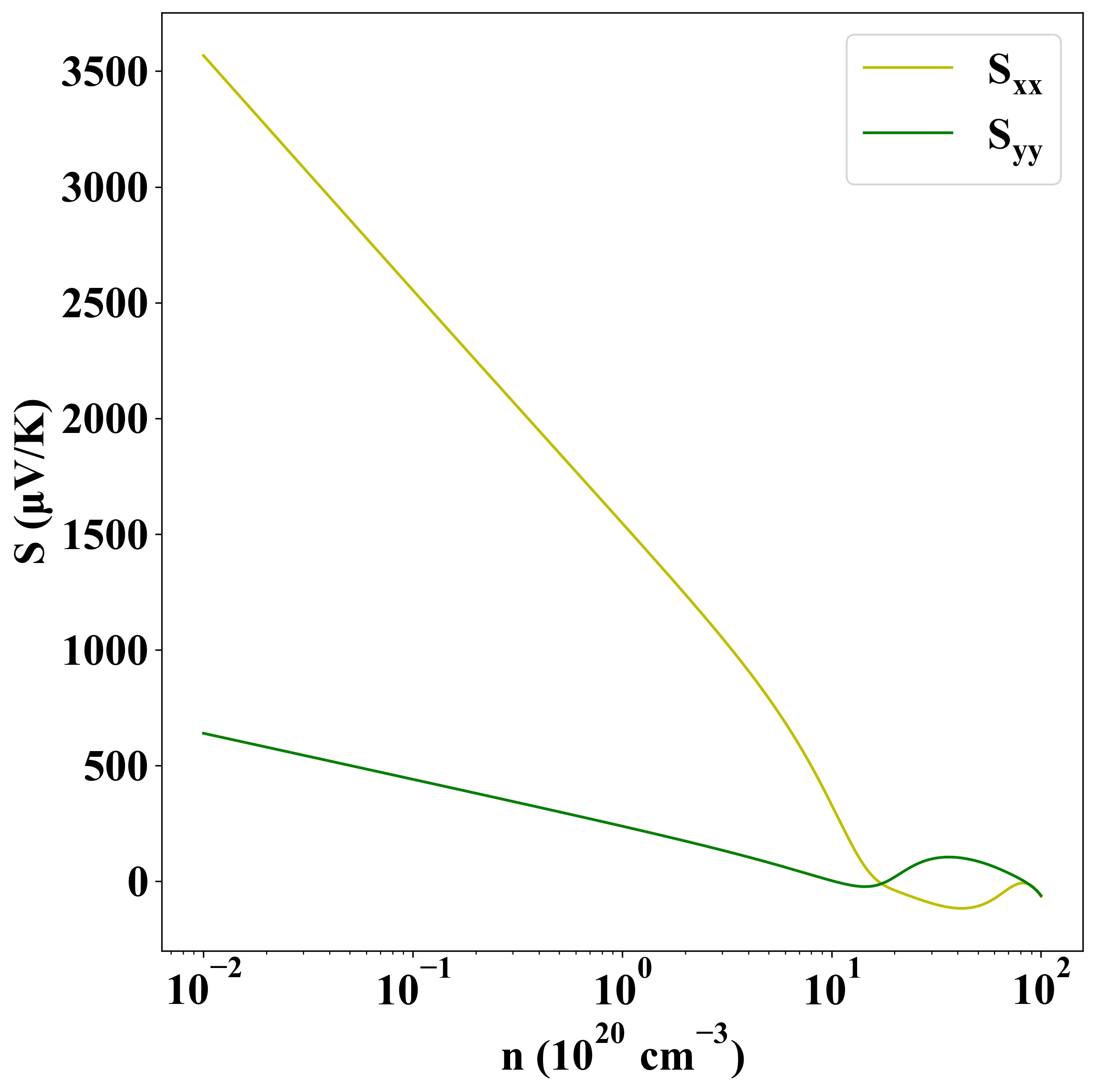
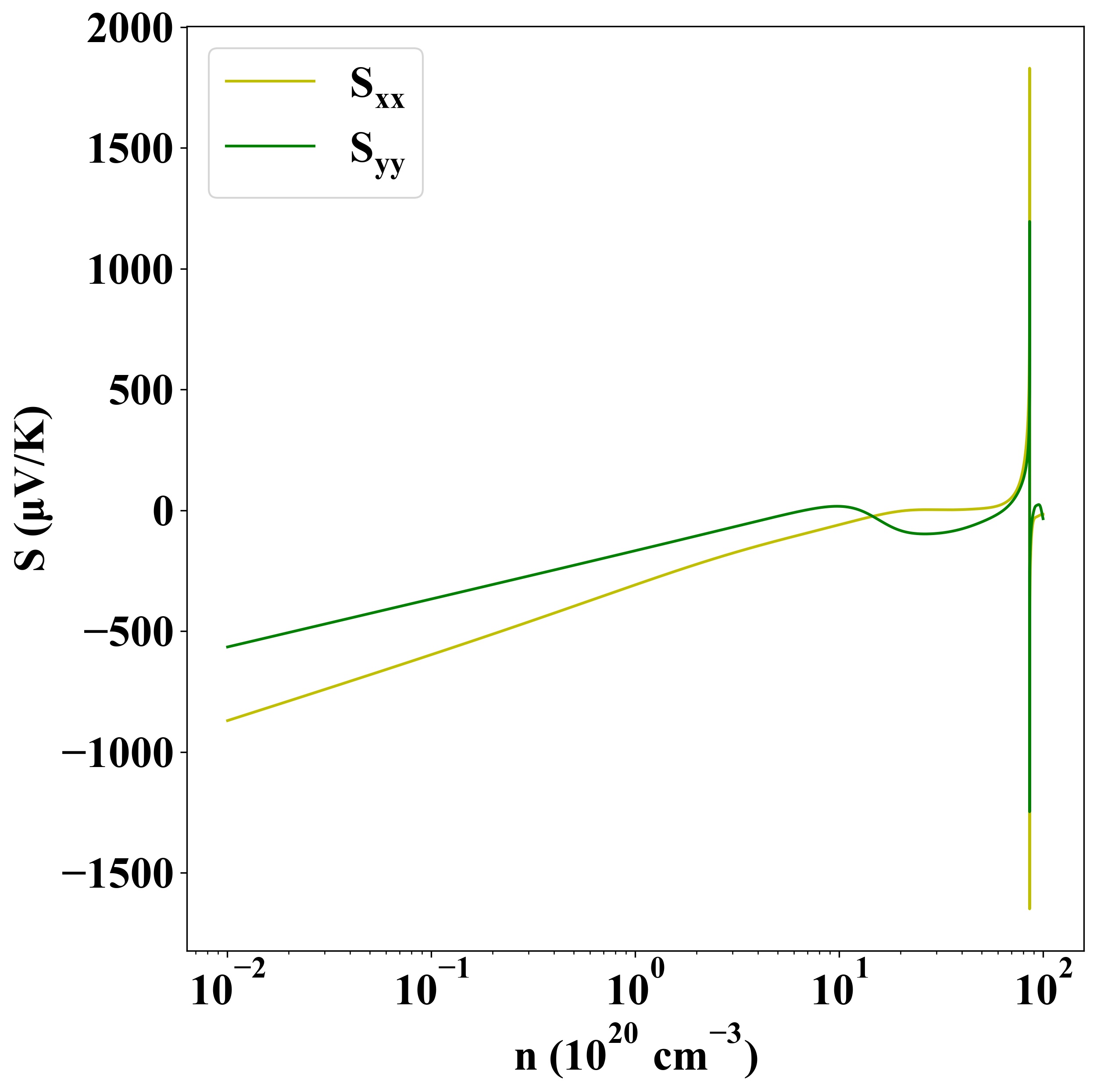
| Property |
Value |
| Band gap |
4.04 eV |
| E-fermi |
-6.101 eV |
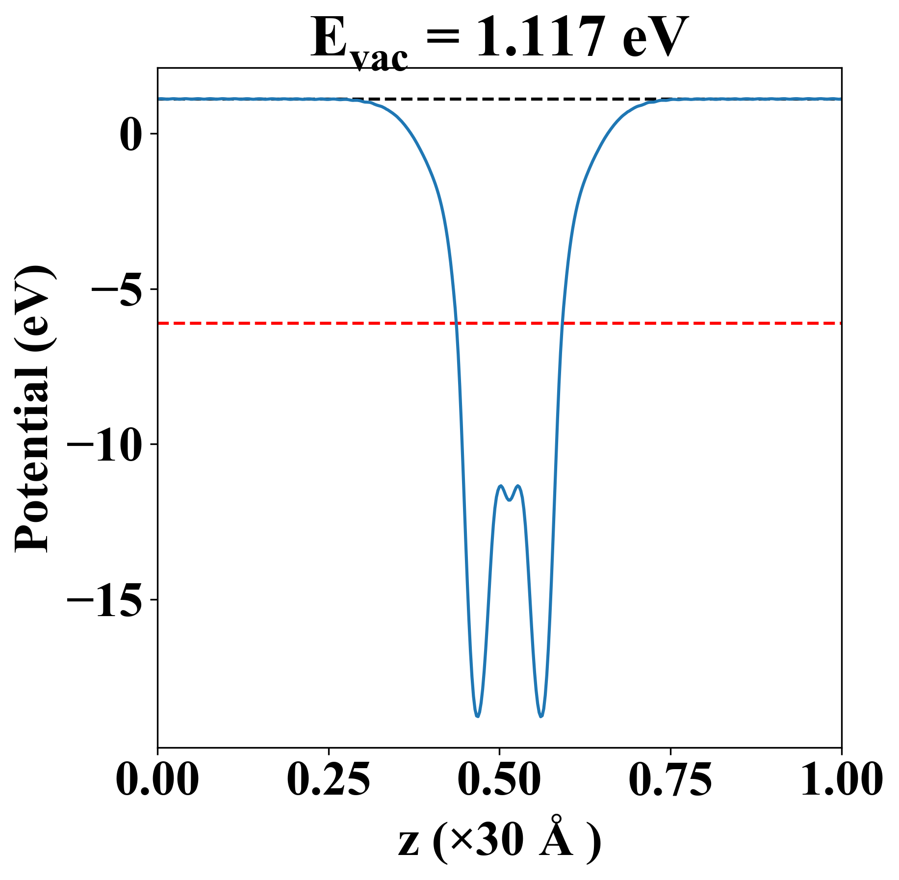
| Vacuum level |
1.117 eV |
| VBM |
-6.356 eV |
| CBM |
-2.319 eV |
| Work function |
7.218 eV |
| Direct gap |
No |
| Property |
Value |
| Band gap |
4.02 eV |
| E-fermi |
-6.117 eV |
| VBM |
-6.357 eV |
| CBM |
-2.340 eV |
| Free energy (eV) |
-26.148 |
| Free energy / atom (eV) |
-3.268 |
| Property |
Value |
| Band gap |
4.04 eV |
| E-fermi |
-6.101 eV |
| Vacuum level |
1.117 eV |
| VBM |
-6.356 eV |
| CBM |
-2.319 eV |
| Work function |
7.218 eV |
| Cij (N/m) |
xx |
yy |
xy |
| xx |
2.108 |
1.034 |
0.000 |
| yy |
1.034 |
1.660 |
0.000 |
| xy |
0.000 |
0.000 |
0.913 |
| Phonon mode at Γ point (THz) |
| Property |
Value |
| from where |
JVASP-6364 |