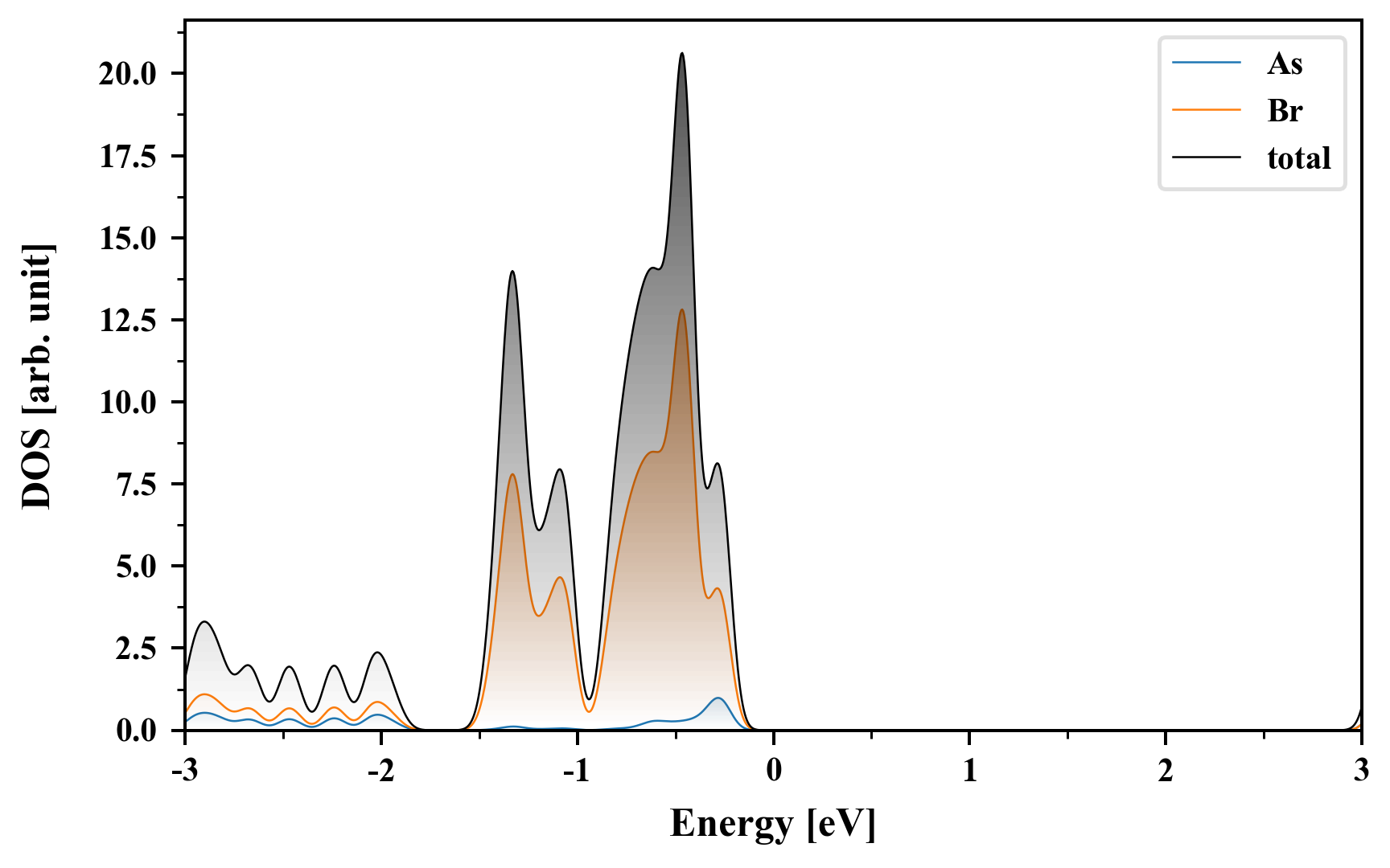
As2Br6
MatHub2d-1127-As2Br6
| Property |
Value |
| Space group |
(11, 'P2_1/m') |
| Crystal system |
rectangular |
| Magnetic |
No |
| Band gap (PBE) (eV) |
3.30 |
| Free energy (eV) |
-22.852 |
| Free energy / atom (eV) |
-2.856 |
Lattice Parameters (basic)
| a, b, c (Å): | 4.118 | 10.172 | 30.000 |
| α, β, γ (°): | 90.000 | 90.000 | 90.000 |
Lattice Parameters (computed)
| a, b, c (Å): | 4.441 | 11.850 | 30.000 |
| α, β, γ (°): | 90.000 | 90.000 | 90.000 |
| Property |
Value |
| Band gap |
3.30 eV |
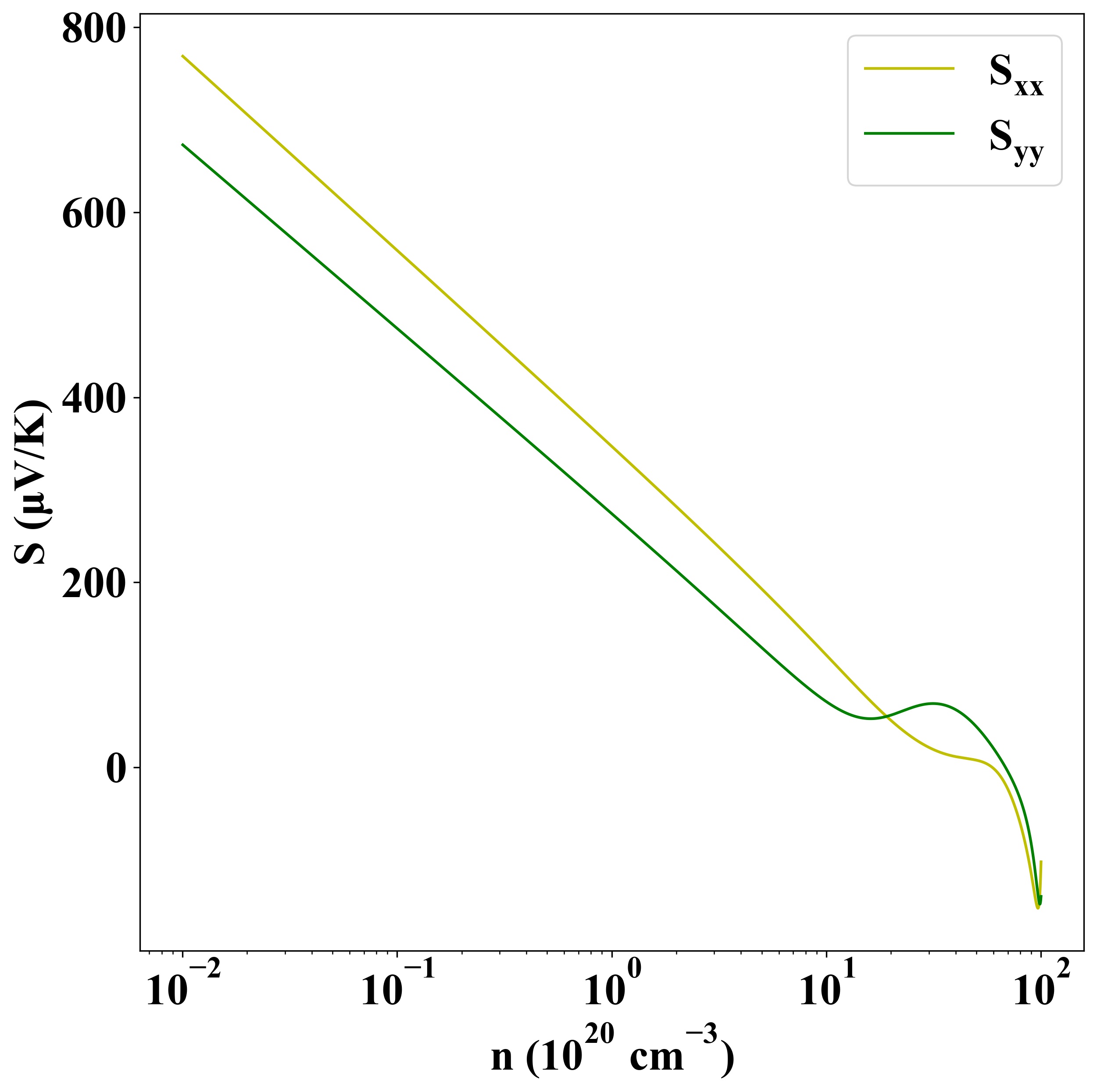
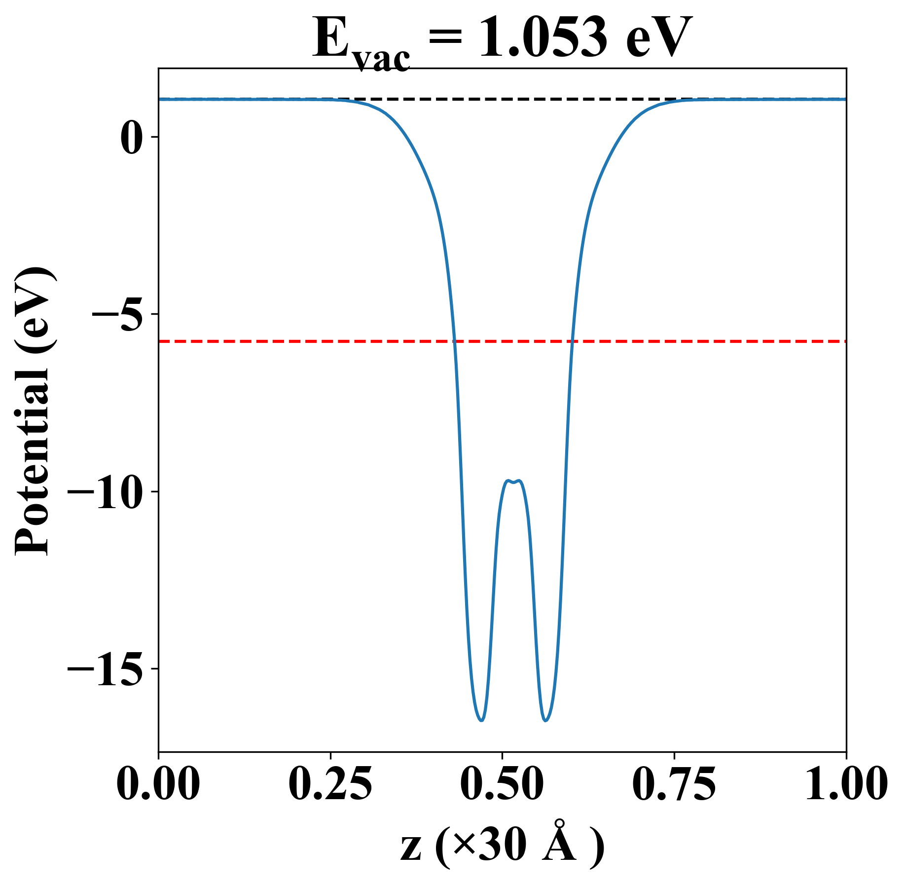
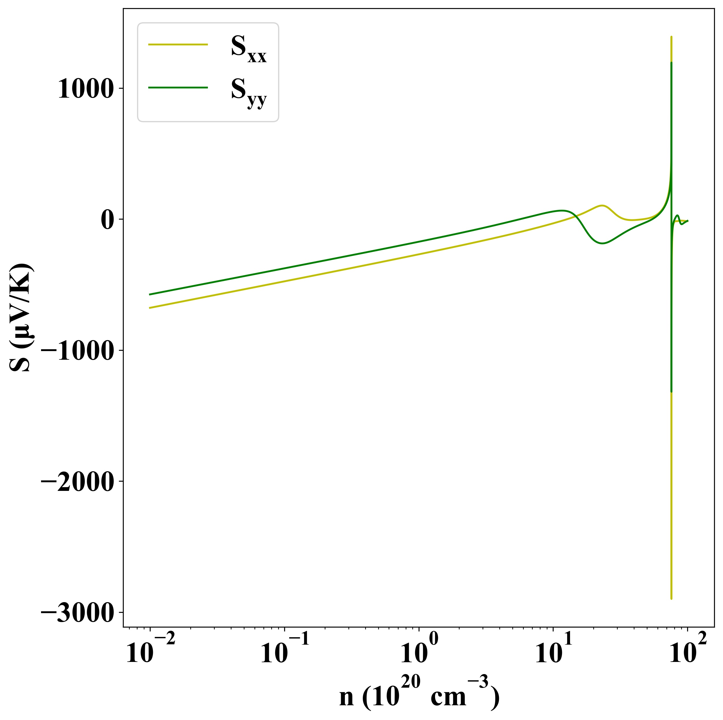
| E-fermi |
-5.774 eV |
| Vacuum level |
1.053 eV |
| VBM |
-6.014 eV |
| CBM |
-2.716 eV |
| Work function |
6.827 eV |
| Direct gap |
No |
| Property |
Value |
| Band gap |
3.23 eV |
| E-fermi |
-5.651 eV |
| VBM |
-5.945 eV |
| CBM |
-2.711 eV |
| Free energy (eV) |
-23.057 |
| Free energy / atom (eV) |
-2.882 |
| Property |
Value |
| Band gap |
3.30 eV |
| E-fermi |
-5.774 eV |
| Vacuum level |
1.053 eV |
| VBM |
-6.014 eV |
| CBM |
-2.716 eV |
| Work function |
6.827 eV |
| Cij (N/m) |
xx |
yy |
xy |
| xx |
1.504 |
0.263 |
0.000 |
| yy |
0.263 |
-10.728 |
0.000 |
| xy |
0.000 |
0.000 |
0.179 |
| Phonon mode at Γ point (THz) |
| Property |
Value |
| from where |
JVASP-6403 |