Al6I2Te6
MatHub2d-1126-Al6I2Te6
| Property |
Value |
| Space group |
(11, 'P2_1/m') |
| Crystal system |
rectangular |
| Magnetic |
No |
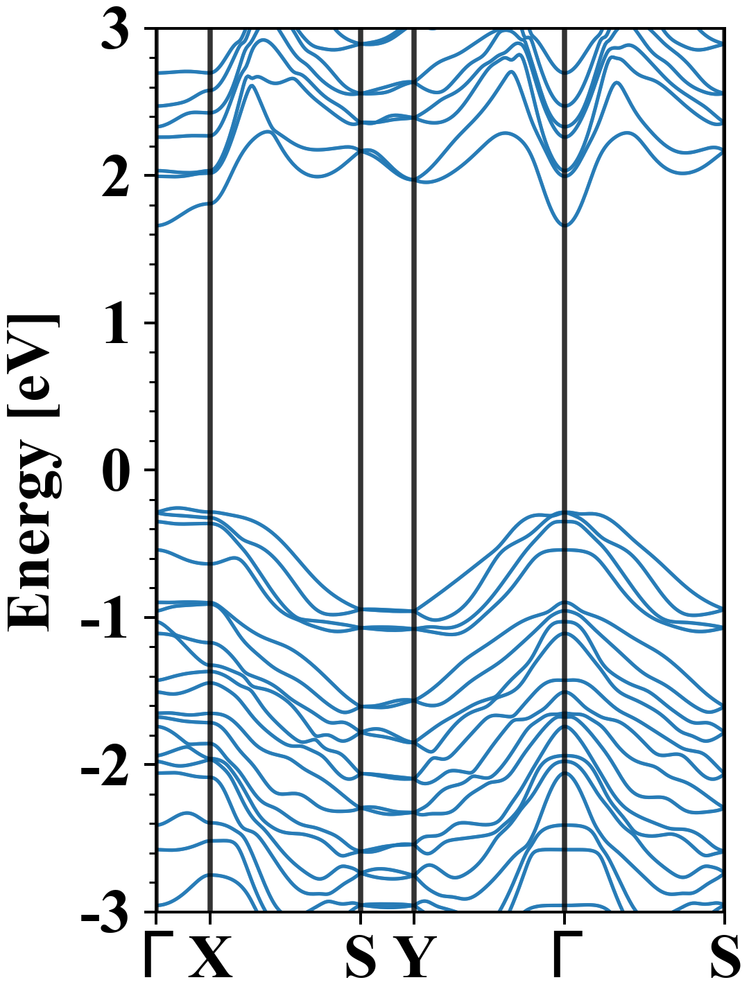
| Band gap (PBE) (eV) |
1.98 |
| Free energy (eV) |
-50.999 |
| Free energy / atom (eV) |
-3.643 |
Lattice Parameters (basic)
| a, b, c (Å): | 11.183 | 4.134 | 30.000 |
| α, β, γ (°): | 90.000 | 90.000 | 90.000 |
Lattice Parameters (computed)
| a, b, c (Å): | 11.592 | 4.151 | 30.000 |
| α, β, γ (°): | 90.000 | 90.000 | 90.000 |
| Property |
Value |
| Band gap |
1.98 eV |
| E-fermi |
-2.447 eV |
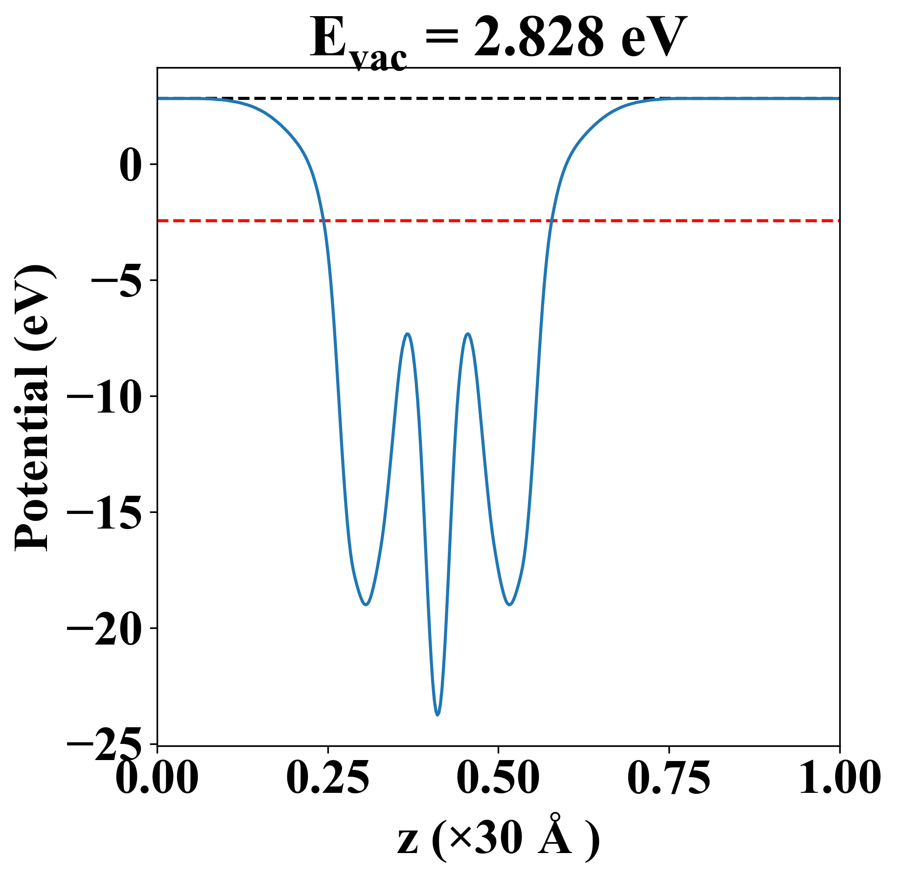
| Vacuum level |
2.828 eV |
| VBM |
-2.662 eV |
| CBM |
-0.681 eV |
| Work function |
5.275 eV |
| Direct gap |
No |
| Property |
Value |
| Band gap |
1.92 eV |
| E-fermi |
-2.364 eV |
| VBM |
-2.622 eV |
| CBM |
-0.705 eV |
| Free energy (eV) |
-51.811 |
| Free energy / atom (eV) |
-3.701 |
| Property |
Value |
| Band gap |
1.98 eV |
| E-fermi |
-2.447 eV |
| Vacuum level |
2.828 eV |
| VBM |
-2.662 eV |
| CBM |
-0.681 eV |
| Work function |
5.275 eV |
| Cij (N/m) |
xx |
yy |
xy |
| xx |
110.171 |
8.558 |
0.000 |
| yy |
8.558 |
80.353 |
0.000 |
| xy |
0.000 |
0.000 |
20.555 |
| Phonon mode at Γ point (THz) |
| Property |
Value |
| from where |
JVASP-6391 |