Al2I2Se2
MatHub2d-1125-Al2I2Se2
| Property |
Value |
| Space group |
(59, 'Pmmn') |
| Crystal system |
rectangular |
| Magnetic |
No |
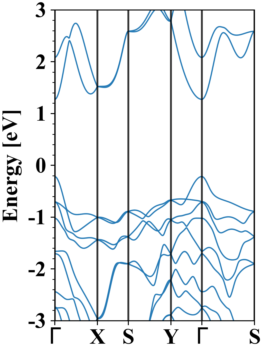
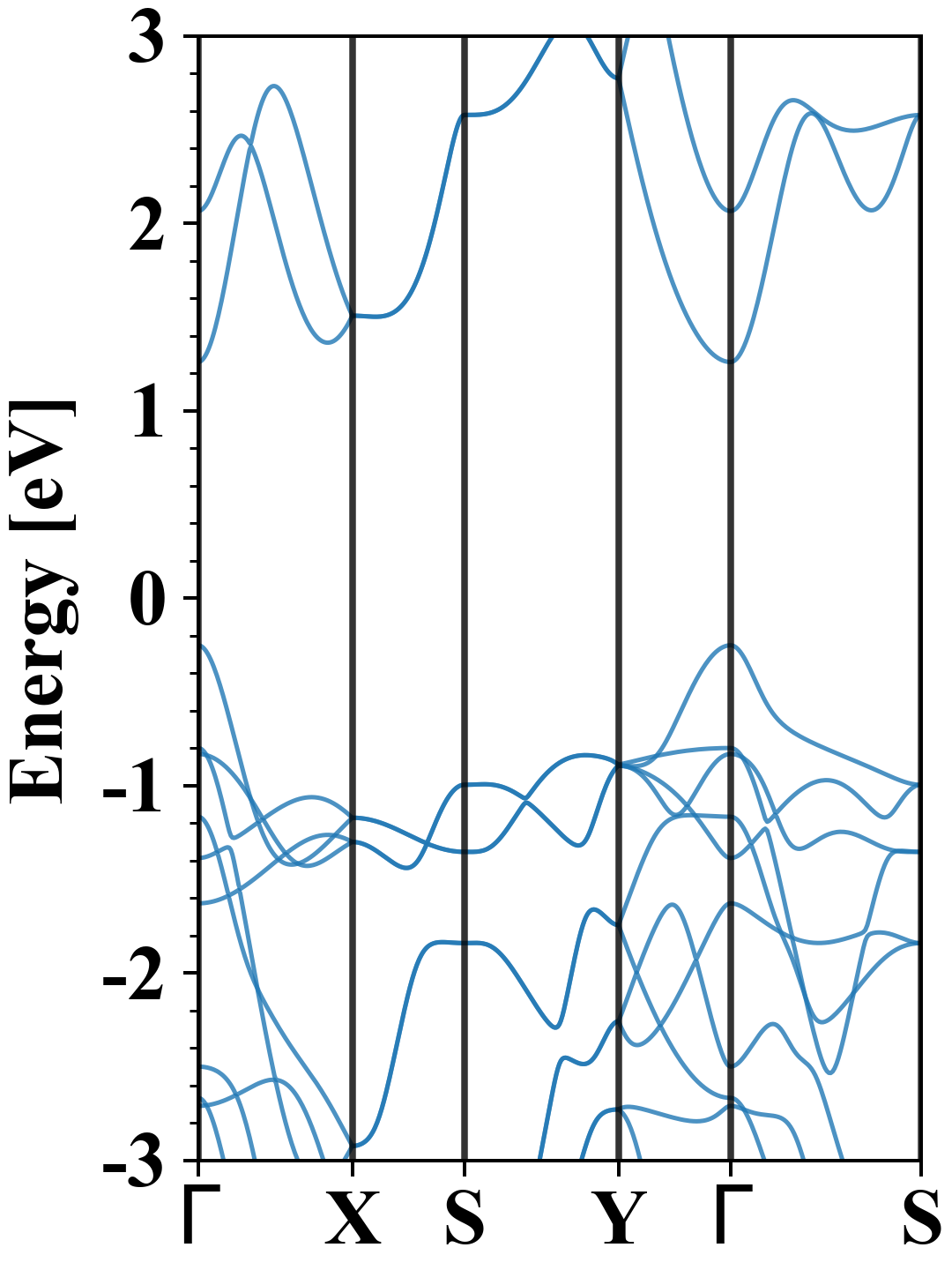
| Band gap (PBE) (eV) |
1.51 |
| Free energy (eV) |
-21.841 |
| Free energy / atom (eV) |
-3.640 |
Lattice Parameters (basic)
| a, b, c (Å): | 3.793 | 5.213 | 30.000 |
| α, β, γ (°): | 90.000 | 90.000 | 90.000 |
Lattice Parameters (computed)
| a, b, c (Å): | 3.790 | 5.212 | 30.000 |
| α, β, γ (°): | 90.000 | 90.000 | 90.000 |
| Property |
Value |
| Band gap |
1.51 eV |
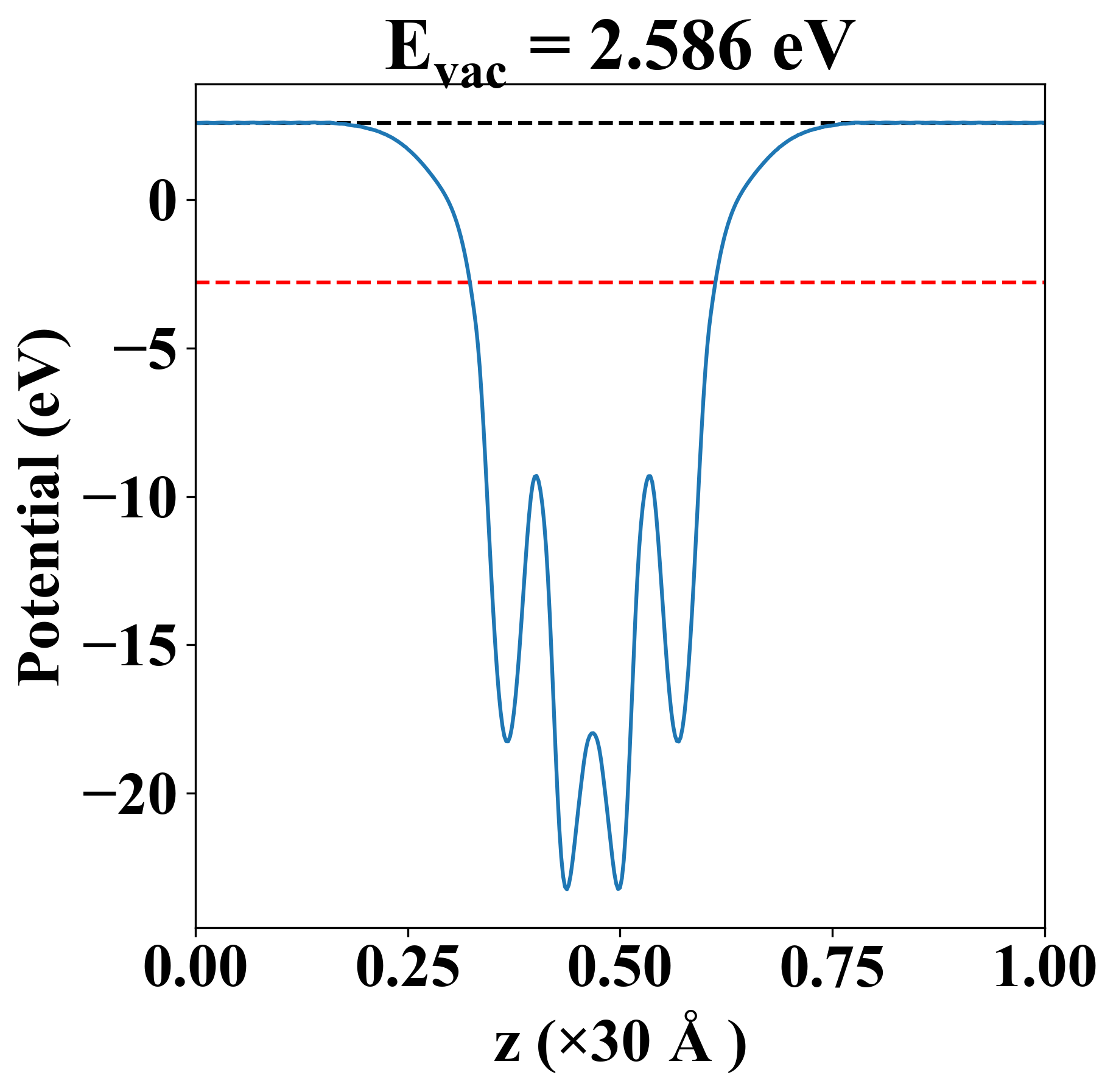
| E-fermi |
-2.800 eV |
| Vacuum level |
2.586 eV |
| VBM |
-3.051 eV |
| CBM |
-1.540 eV |
| Work function |
5.386 eV |
| Direct gap |
Yes |
| Property |
Value |
| Band gap |
1.49 eV |
| E-fermi |
-2.802 eV |
| VBM |
-3.019 eV |
| CBM |
-1.528 eV |
| Free energy (eV) |
-22.143 |
| Free energy / atom (eV) |
-3.691 |
| Property |
Value |
| Band gap |
1.51 eV |
| E-fermi |
-2.800 eV |
| Vacuum level |
2.586 eV |
| VBM |
-3.051 eV |
| CBM |
-1.540 eV |
| Work function |
5.386 eV |
| Cij (N/m) |
xx |
yy |
xy |
| xx |
88.851 |
14.655 |
0.000 |
| yy |
14.655 |
49.610 |
0.000 |
| xy |
0.000 |
0.000 |
26.174 |
| Phonon mode at Γ point (THz) |
| Property |
Value |
| from where |
c2db-25 |