Al2I2S2
MatHub2d-1124-Al2I2S2
| Property |
Value |
| Space group |
(59, 'Pmmn') |
| Crystal system |
rectangular |
| Magnetic |
No |
| Band gap (PBE) (eV) |
1.76 |
| Free energy (eV) |
-23.817 |
| Free energy / atom (eV) |
-3.970 |
Lattice Parameters (basic)
| a, b, c (Å): | 3.711 | 4.857 | 30.000 |
| α, β, γ (°): | 90.000 | 90.000 | 90.000 |
Lattice Parameters (computed)
| a, b, c (Å): | 3.705 | 4.848 | 30.000 |
| α, β, γ (°): | 90.000 | 90.000 | 90.000 |
| Property |
Value |
| Band gap |
1.76 eV |
| E-fermi |
-2.959 eV |
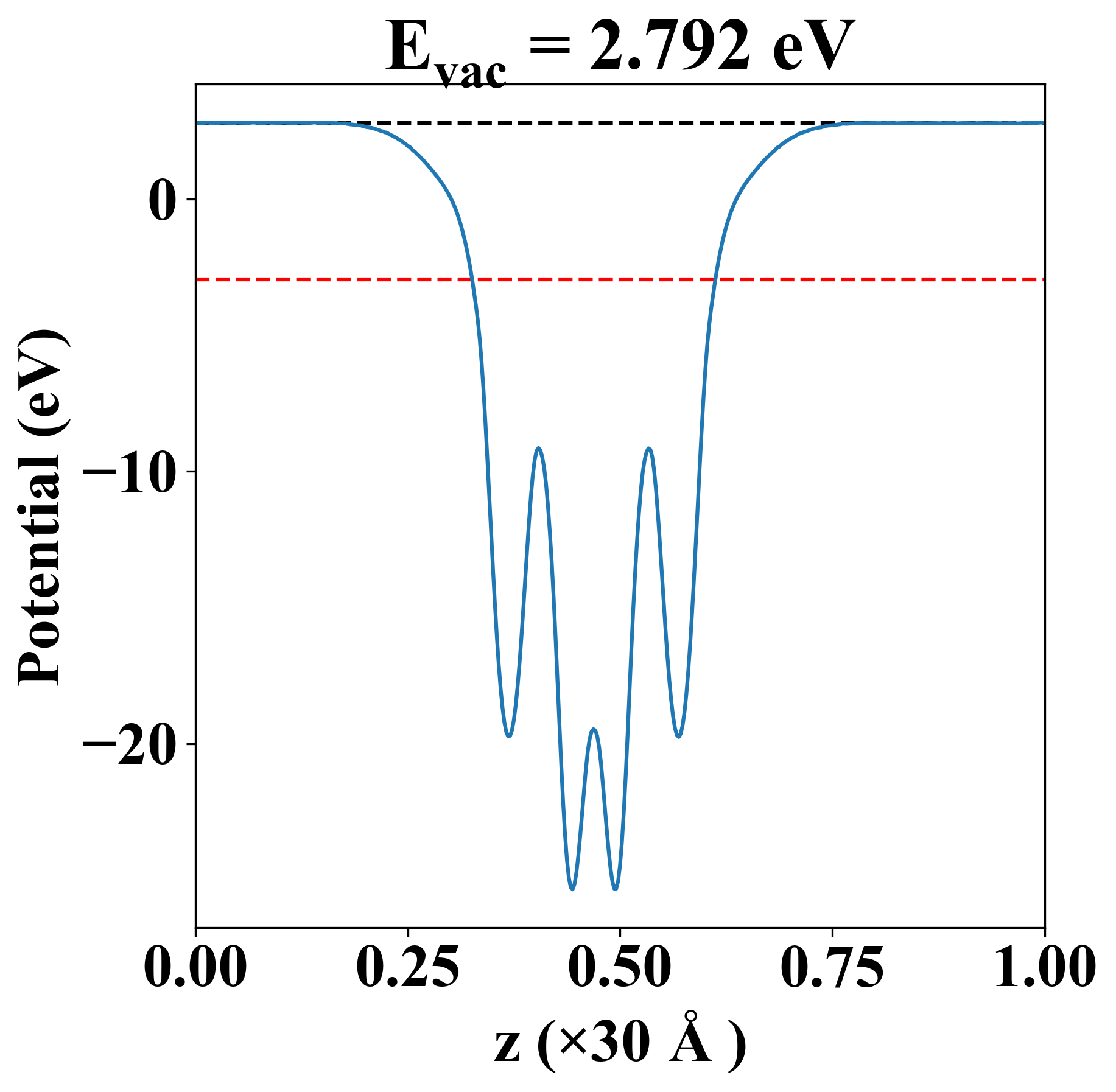
| Vacuum level |
2.792 eV |
| VBM |
-3.259 eV |
| CBM |
-1.502 eV |
| Work function |
5.751 eV |
| Direct gap |
Yes |
| Property |
Value |
| Band gap |
1.66 eV |
| E-fermi |
-2.862 eV |
| VBM |
-3.155 eV |
| CBM |
-1.495 eV |
| Free energy (eV) |
-24.078 |
| Free energy / atom (eV) |
-4.013 |
| Property |
Value |
| Band gap |
1.76 eV |
| E-fermi |
-2.959 eV |
| Vacuum level |
2.792 eV |
| VBM |
-3.259 eV |
| CBM |
-1.502 eV |
| Work function |
5.751 eV |
| Cij (N/m) |
xx |
yy |
xy |
| xx |
99.232 |
19.626 |
0.000 |
| yy |
19.626 |
58.375 |
0.000 |
| xy |
0.000 |
0.000 |
31.658 |
| Phonon mode at Γ point (THz) |
| Property |
Value |
| from where |
c2db-24 |