Al2I2O2
MatHub2d-1123-Al2I2O2
| Property |
Value |
| Space group |
(59, 'Pmmn') |
| Crystal system |
rectangular |
| Magnetic |
No |
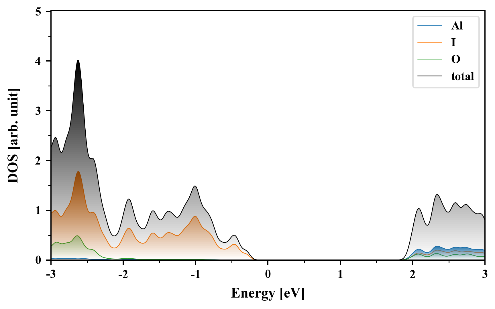
| Band gap (PBE) (eV) |
2.23 |
| Free energy (eV) |
-31.112 |
| Free energy / atom (eV) |
-5.185 |
Lattice Parameters (basic)
| a, b, c (Å): | 3.537 | 3.688 | 30.000 |
| α, β, γ (°): | 90.000 | 90.000 | 90.000 |
Lattice Parameters (computed)
| a, b, c (Å): | 3.534 | 3.674 | 30.000 |
| α, β, γ (°): | 90.000 | 90.000 | 90.000 |
| Property |
Value |
| Band gap |
2.23 eV |
| E-fermi |
-1.287 eV |
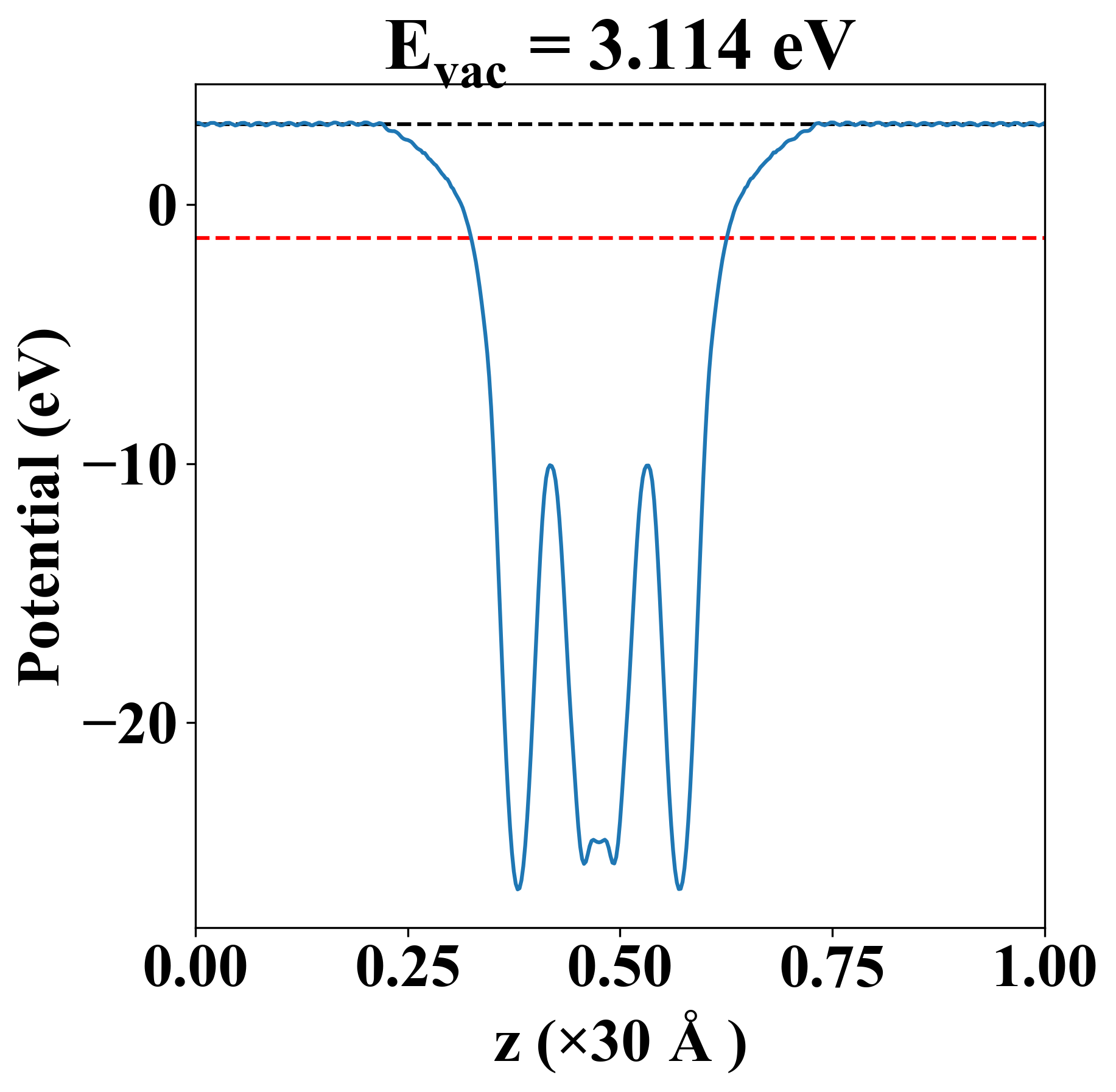
| Vacuum level |
3.114 eV |
| VBM |
-1.578 eV |
| CBM |
0.647 eV |
| Work function |
4.401 eV |
| Direct gap |
No |
| Property |
Value |
| Band gap |
2.25 eV |
| E-fermi |
-1.353 eV |
| VBM |
-1.628 eV |
| CBM |
0.620 eV |
| Free energy (eV) |
-31.361 |
| Free energy / atom (eV) |
-5.227 |
| Property |
Value |
| Band gap |
2.23 eV |
| E-fermi |
-1.287 eV |
| Vacuum level |
3.114 eV |
| VBM |
-1.578 eV |
| CBM |
0.647 eV |
| Work function |
4.401 eV |
| Cij (N/m) |
xx |
yy |
xy |
| xx |
143.711 |
55.037 |
0.000 |
| yy |
55.037 |
159.234 |
0.000 |
| xy |
0.000 |
0.000 |
61.378 |
| Phonon mode at Γ point (THz) |
| Property |
Value |
| from where |
c2db-23 |