Al2I2N2
MatHub2d-1122-Al2I2N2
| Property |
Value |
| Space group |
(59, 'Pmmn') |
| Crystal system |
rectangular |
| Magnetic |
No |
| Band gap (PBE) (eV) |
0.00 |
| Free energy (eV) |
-29.922 |
| Free energy / atom (eV) |
-4.987 |
Lattice Parameters (basic)
| a, b, c (Å): | 3.313 | 3.726 | 30.000 |
| α, β, γ (°): | 90.000 | 90.000 | 90.000 |
Lattice Parameters (computed)
| a, b, c (Å): | 3.272 | 3.723 | 30.000 |
| α, β, γ (°): | 90.000 | 90.000 | 90.000 |
| Property |
Value |
| Band gap |
0.00 eV |
| E-fermi |
-2.394 eV |
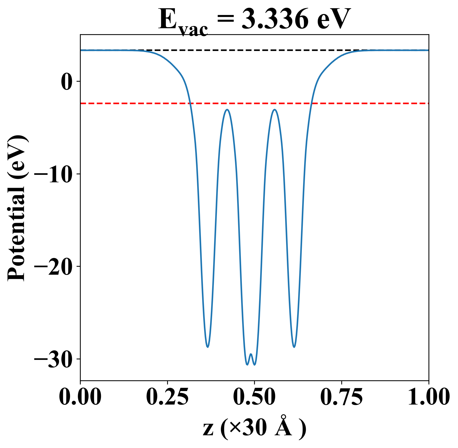
| Vacuum level |
3.336 eV |
| VBM |
-2.405 eV |
| CBM |
-2.390 eV |
| Work function |
5.730 eV |
| Direct gap |
No |
| Property |
Value |
| Band gap |
0.00 eV |
| E-fermi |
-2.394 eV |
| Vacuum level |
3.336 eV |
| VBM |
-2.405 eV |
| CBM |
-2.390 eV |
| Work function |
5.730 eV |
| Cij (N/m) |
xx |
yy |
xy |
| xx |
70.965 |
34.728 |
0.000 |
| yy |
34.728 |
129.502 |
0.000 |
| xy |
0.000 |
0.000 |
78.248 |
| Phonon mode at Γ point (THz) |
| -0.008 |
| -0.007 |
| -0.004 |
| 0.325 |
| 0.598 |
| 0.635 |
| 0.645 |
| 1.181 |
| 1.377 |
| 6.221 |
| 12.547 |
| 13.830 |
| 14.531 |
| 16.481 |
| 18.156 |
| 20.482 |
| 22.733 |
| 26.552 |
| Property |
Value |
| from where |
c2db-22 |