Al2H2O4
MatHub2d-1121-Al2H2O4
| Property |
Value |
| Space group |
(59, 'Pmmn') |
| Crystal system |
rectangular |
| Magnetic |
No |
| Band gap (PBE) (eV) |
2.87 |
| Free energy (eV) |
-51.862 |
| Free energy / atom (eV) |
-6.483 |
Lattice Parameters (basic)
| a, b, c (Å): | 2.928 | 3.702 | 30.000 |
| α, β, γ (°): | 90.000 | 90.000 | 90.000 |
Lattice Parameters (computed)
| a, b, c (Å): | 2.929 | 3.722 | 30.000 |
| α, β, γ (°): | 90.000 | 90.000 | 90.000 |
| Property |
Value |
| Band gap |
2.87 eV |
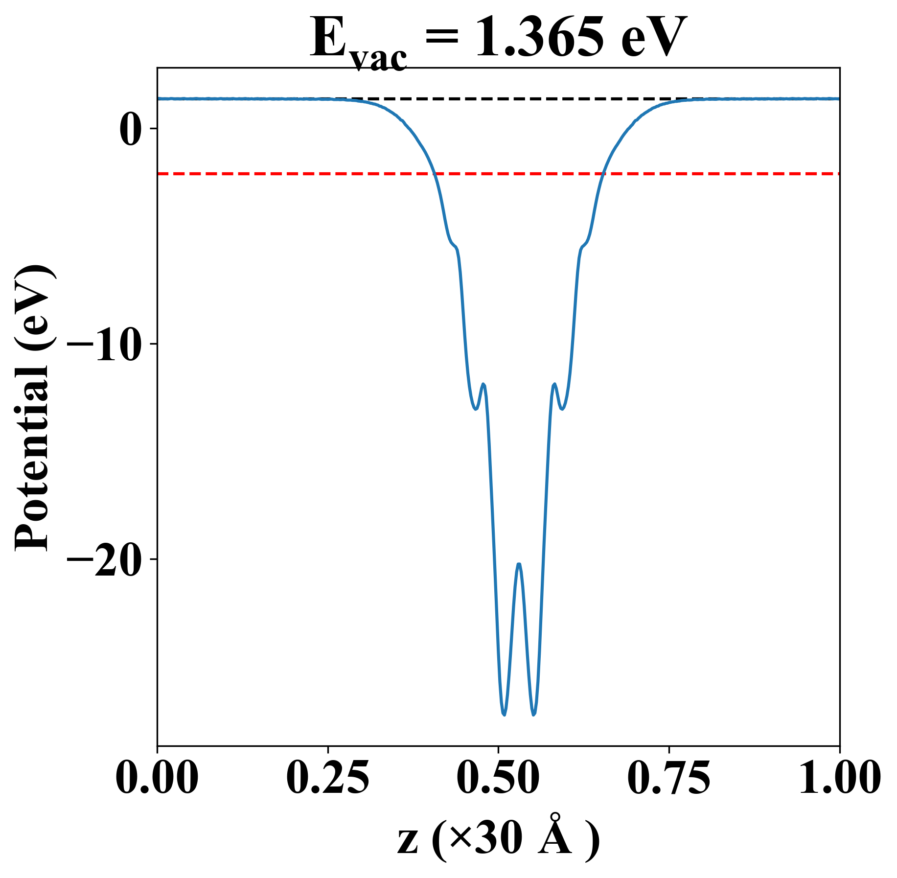
| E-fermi |
-2.118 eV |
| Vacuum level |
1.365 eV |
| VBM |
-2.409 eV |
| CBM |
0.460 eV |
| Work function |
3.483 eV |
| Direct gap |
Yes |
| Property |
Value |
| Band gap |
2.84 eV |
| E-fermi |
-2.119 eV |
| VBM |
-2.419 eV |
| CBM |
0.422 eV |
| Free energy (eV) |
-51.862 |
| Free energy / atom (eV) |
-6.483 |
| Property |
Value |
| Band gap |
2.87 eV |
| E-fermi |
-2.118 eV |
| Vacuum level |
1.365 eV |
| VBM |
-2.409 eV |
| CBM |
0.460 eV |
| Work function |
3.483 eV |
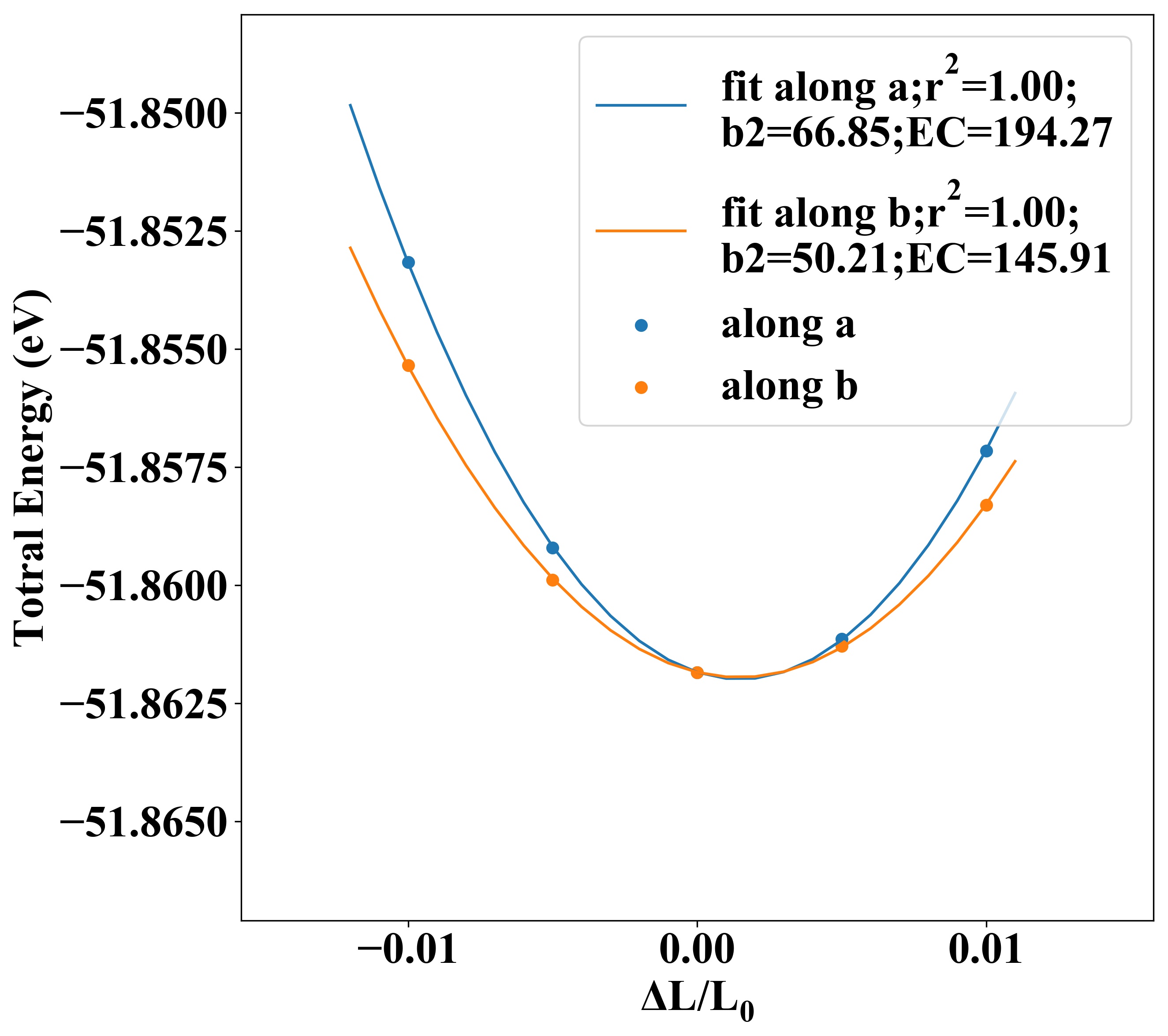
| Cij (N/m) |
xx |
yy |
xy |
| xx |
196.578 |
46.933 |
0.000 |
| yy |
46.933 |
149.205 |
0.000 |
| xy |
0.000 |
0.000 |
78.136 |
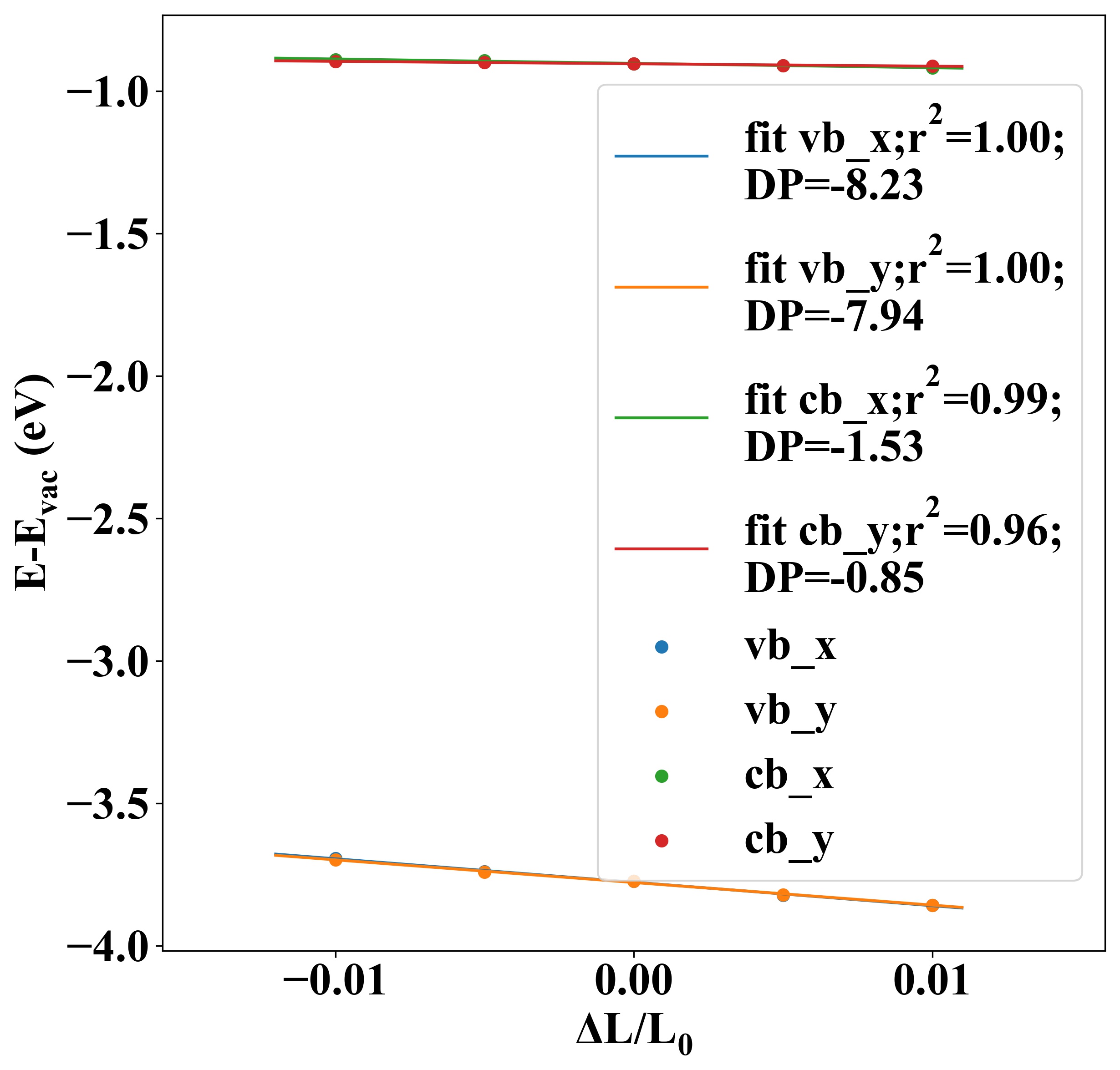
| Phonon mode at Γ point (THz) |
| Carrier type |
C2D (N/m) |
Edef (eV) |
μ (cm2V-1s-1) |
| x |
y |
x |
y |
x |
y |
| hole |
194.27 |
145.91 |
-8.23 |
-7.94 |
-58.97 |
-8.84 |
| electron |
-1.53 |
-0.85 |
2282.27 |
5407.44 |
| Property |
Value |
| from where |
JVASP-14432 |