Al2Cl4
MatHub2d-1120-Al2Cl4
| Property |
Value |
| Space group |
(6, 'Pm') |
| Crystal system |
rectangular |
| Magnetic |
No |
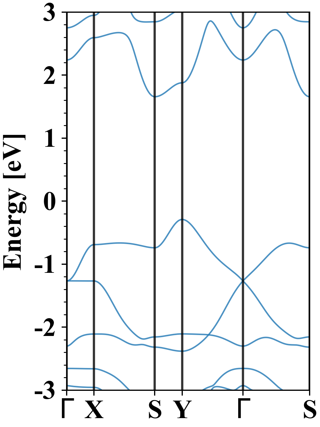
| Band gap (PBE) (eV) |
1.95 |
| Free energy (eV) |
-21.143 |
| Free energy / atom (eV) |
-3.524 |
Lattice Parameters (basic)
| a, b, c (Å): | 7.866 | 3.535 | 30.000 |
| α, β, γ (°): | 90.000 | 90.000 | 90.000 |
Lattice Parameters (computed)
| a, b, c (Å): | 7.847 | 3.526 | 30.000 |
| α, β, γ (°): | 90.000 | 90.000 | 90.000 |
| Property |
Value |
| Band gap |
1.95 eV |
| E-fermi |
-4.031 eV |
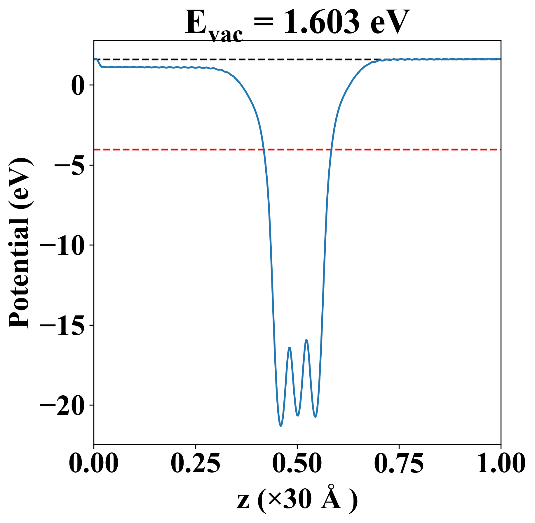
| Vacuum level |
1.603 eV |
| VBM |
-4.323 eV |
| CBM |
-2.375 eV |
| Work function |
5.634 eV |
| Direct gap |
No |
| Property |
Value |
| Band gap |
0.07 eV |
| E-fermi |
-2.401 eV |
| VBM |
-2.419 eV |
| CBM |
-2.353 eV |
| Free energy (eV) |
-16.960 |
| Free energy / atom (eV) |
-2.827 |
| Property |
Value |
| Band gap |
1.95 eV |
| E-fermi |
-4.031 eV |
| Vacuum level |
1.603 eV |
| VBM |
-4.323 eV |
| CBM |
-2.375 eV |
| Work function |
5.634 eV |
| Cij (N/m) |
xx |
yy |
xy |
| xx |
5.670 |
2.248 |
0.000 |
| yy |
2.248 |
27.358 |
0.000 |
| xy |
0.000 |
0.000 |
3.083 |
| Phonon mode at Γ point (THz) |
| Property |
Value |
| from where |
c2db-1820 |