Al2Cl2Se2
MatHub2d-1119-Al2Cl2Se2
| Property |
Value |
| Space group |
(59, 'Pmmn') |
| Crystal system |
rectangular |
| Magnetic |
No |
| Band gap (PBE) (eV) |
1.40 |
| Free energy (eV) |
-24.645 |
| Free energy / atom (eV) |
-4.107 |
Lattice Parameters (basic)
| a, b, c (Å): | 3.515 | 5.221 | 30.000 |
| α, β, γ (°): | 90.000 | 90.000 | 90.000 |
Lattice Parameters (computed)
| a, b, c (Å): | 3.510 | 5.222 | 30.000 |
| α, β, γ (°): | 90.000 | 90.000 | 90.000 |
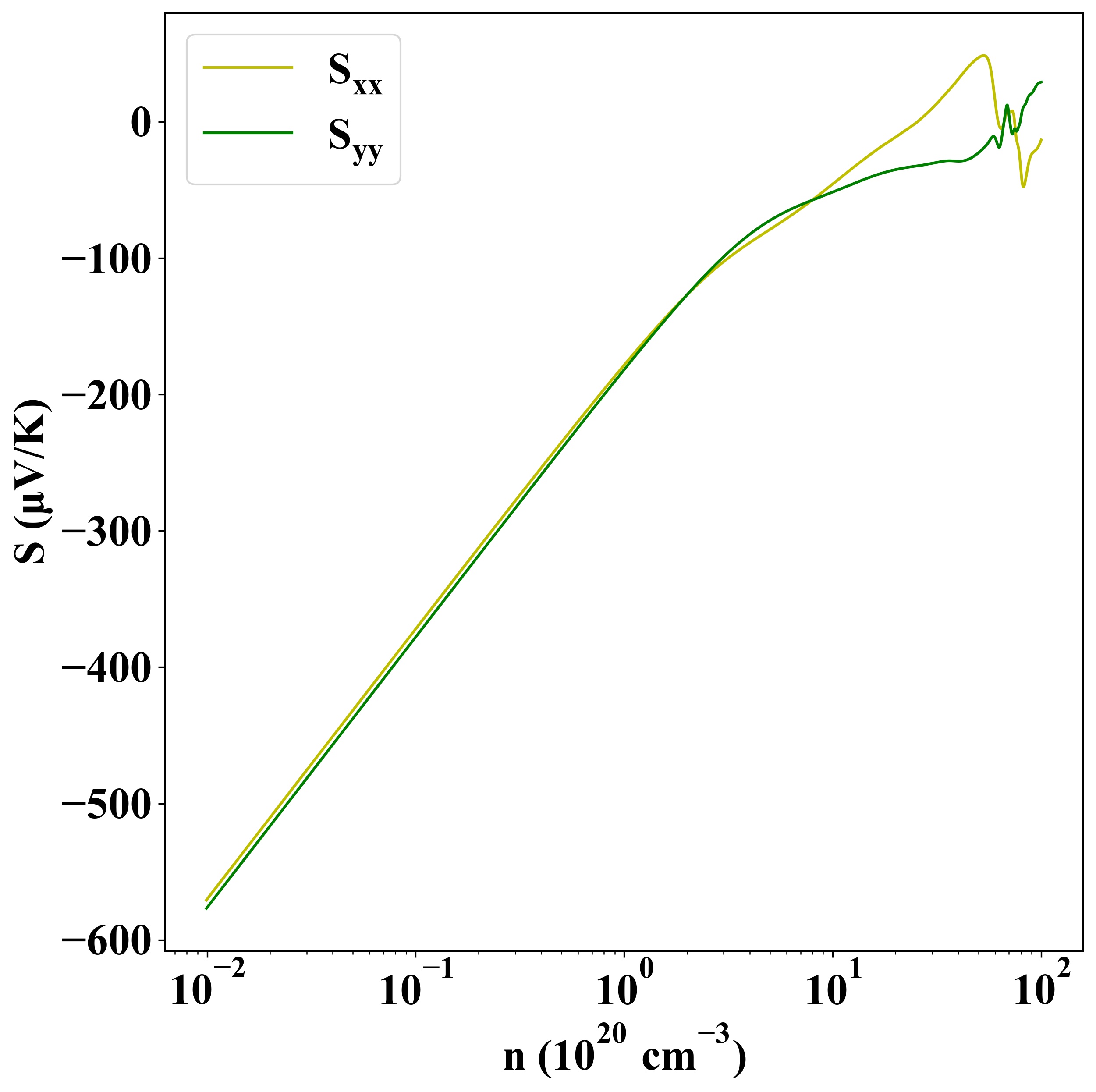
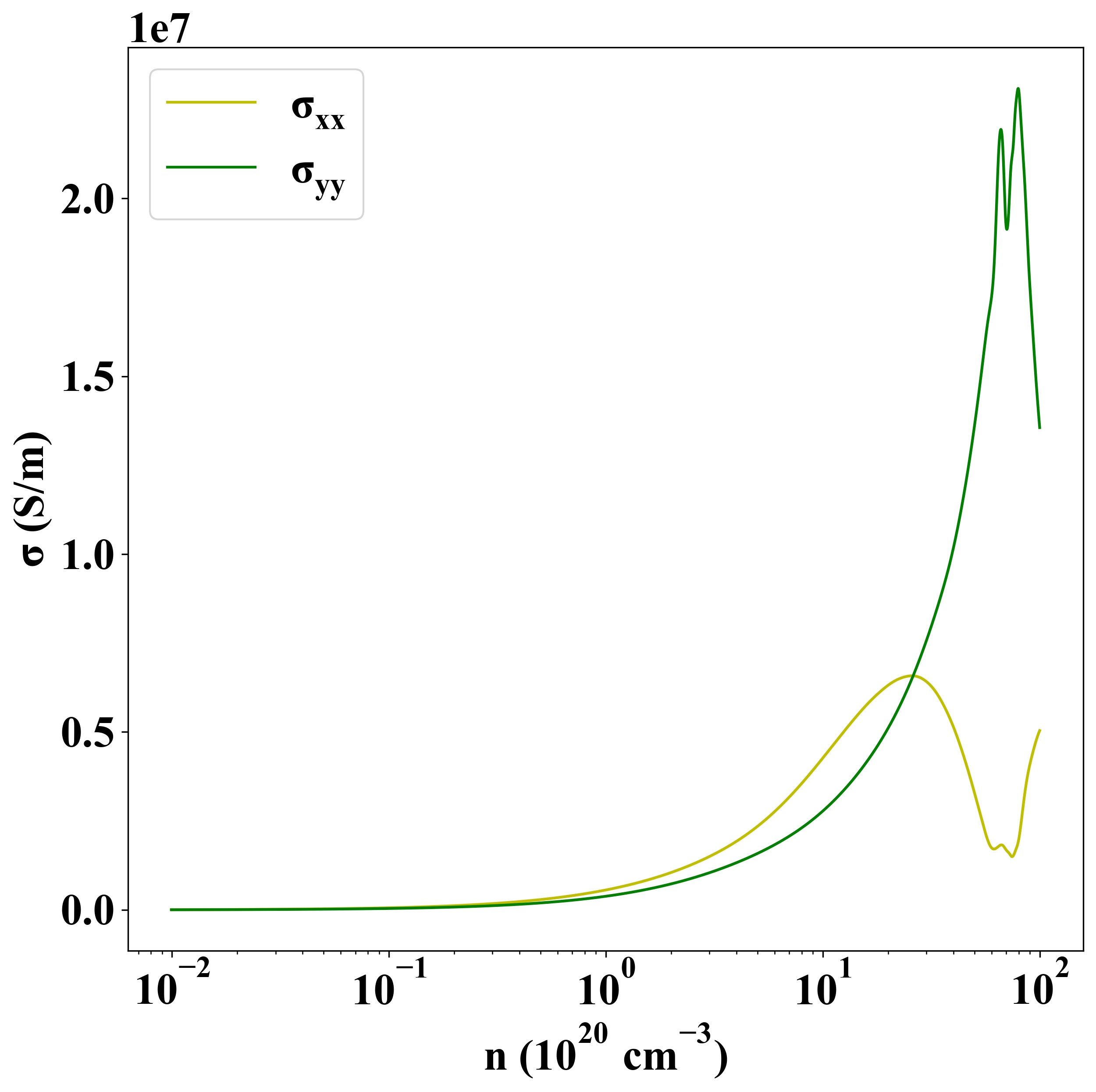
| Property |
Value |
| Band gap |
1.40 eV |
| E-fermi |
-2.692 eV |
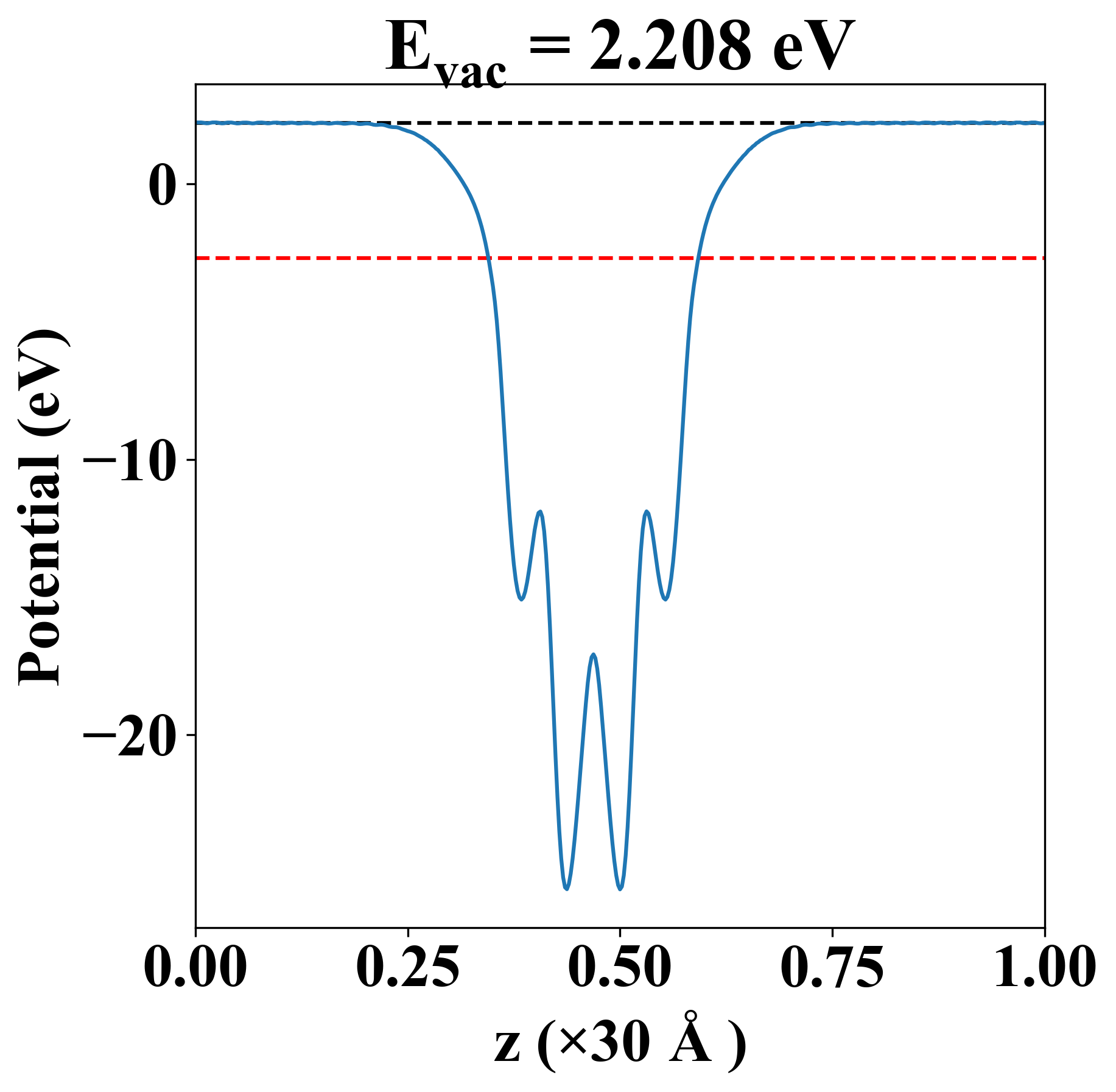
| Vacuum level |
2.208 eV |
| VBM |
-2.968 eV |
| CBM |
-1.570 eV |
| Work function |
4.900 eV |
| Direct gap |
No |
| Property |
Value |
| Band gap |
1.40 eV |
| E-fermi |
-2.732 eV |
| VBM |
-2.977 eV |
| CBM |
-1.581 eV |
| Free energy (eV) |
-24.685 |
| Free energy / atom (eV) |
-4.114 |
| Property |
Value |
| Band gap |
1.40 eV |
| E-fermi |
-2.692 eV |
| Vacuum level |
2.208 eV |
| VBM |
-2.968 eV |
| CBM |
-1.570 eV |
| Work function |
4.900 eV |
| Cij (N/m) |
xx |
yy |
xy |
| xx |
100.341 |
10.133 |
0.000 |
| yy |
10.133 |
59.991 |
0.000 |
| xy |
0.000 |
0.000 |
29.169 |
| Phonon mode at Γ point (THz) |
| Property |
Value |
| from where |
c2db-21 |