Al2Cl2S2
MatHub2d-1118-Al2Cl2S2
| Property |
Value |
| Space group |
(59, 'Pmmn') |
| Crystal system |
rectangular |
| Magnetic |
No |
| Band gap (PBE) (eV) |
2.34 |
| Free energy (eV) |
-26.884 |
| Free energy / atom (eV) |
-4.481 |
Lattice Parameters (basic)
| a, b, c (Å): | 3.407 | 4.890 | 30.000 |
| α, β, γ (°): | 90.000 | 90.000 | 90.000 |
Lattice Parameters (computed)
| a, b, c (Å): | 3.402 | 4.882 | 30.000 |
| α, β, γ (°): | 90.000 | 90.000 | 90.000 |
| Property |
Value |
| Band gap |
2.34 eV |
| E-fermi |
-3.285 eV |
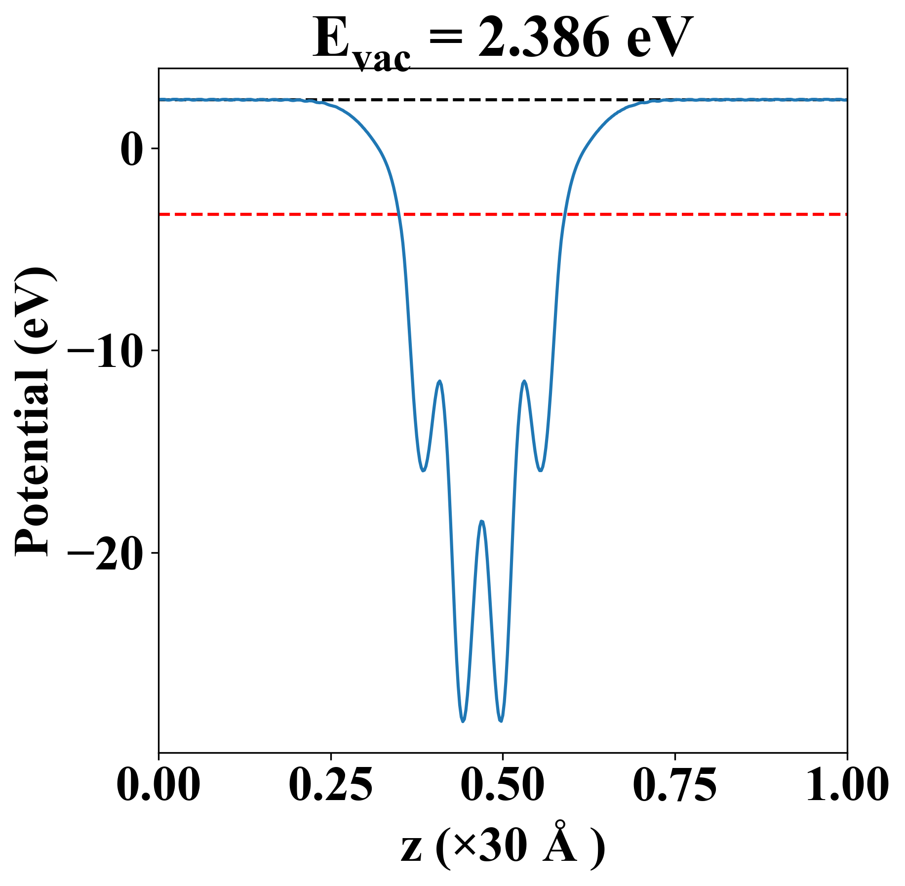
| Vacuum level |
2.386 eV |
| VBM |
-3.521 eV |
| CBM |
-1.181 eV |
| Work function |
5.671 eV |
| Direct gap |
Yes |
| Property |
Value |
| Band gap |
2.34 eV |
| E-fermi |
-3.320 eV |
| VBM |
-3.539 eV |
| CBM |
-1.197 eV |
| Free energy (eV) |
-26.888 |
| Free energy / atom (eV) |
-4.481 |
| Property |
Value |
| Band gap |
2.34 eV |
| E-fermi |
-3.285 eV |
| Vacuum level |
2.386 eV |
| VBM |
-3.521 eV |
| CBM |
-1.181 eV |
| Work function |
5.671 eV |
| Cij (N/m) |
xx |
yy |
xy |
| xx |
110.564 |
14.400 |
0.000 |
| yy |
14.400 |
70.385 |
0.000 |
| xy |
0.000 |
0.000 |
34.808 |
| Phonon mode at Γ point (THz) |
| Property |
Value |
| from where |
c2db-20 |