Al2Cl2O2
MatHub2d-1117-Al2Cl2O2
| Property |
Value |
| Space group |
(59, 'Pmmn') |
| Crystal system |
rectangular |
| Magnetic |
No |
| Band gap (PBE) (eV) |
5.79 |
| Free energy (eV) |
-35.187 |
| Free energy / atom (eV) |
-5.865 |
Lattice Parameters (basic)
| a, b, c (Å): | 3.169 | 3.639 | 30.000 |
| α, β, γ (°): | 90.000 | 90.000 | 90.000 |
Lattice Parameters (computed)
| a, b, c (Å): | 3.169 | 3.661 | 30.000 |
| α, β, γ (°): | 90.000 | 90.000 | 90.000 |
| Property |
Value |
| Band gap |
5.79 eV |
| E-fermi |
-4.909 eV |
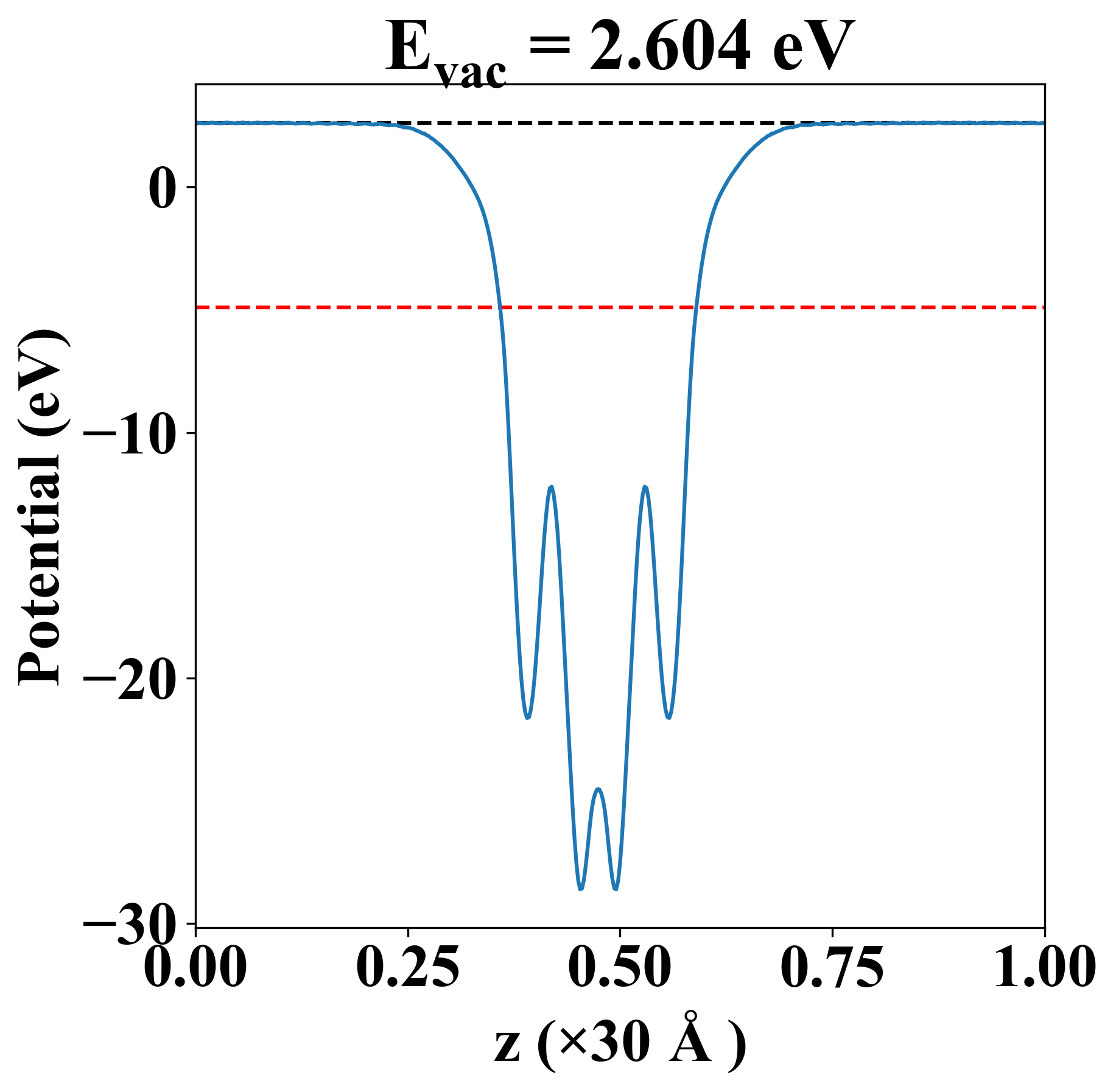
| Vacuum level |
2.604 eV |
| VBM |
-5.199 eV |
| CBM |
0.595 eV |
| Work function |
7.513 eV |
| Direct gap |
No |
| Property |
Value |
| Band gap |
5.78 eV |
| E-fermi |
-4.955 eV |
| VBM |
-5.187 eV |
| CBM |
0.594 eV |
| Free energy (eV) |
-35.190 |
| Free energy / atom (eV) |
-5.865 |
| Property |
Value |
| Band gap |
5.79 eV |
| E-fermi |
-4.909 eV |
| Vacuum level |
2.604 eV |
| VBM |
-5.199 eV |
| CBM |
0.595 eV |
| Work function |
7.513 eV |
| Cij (N/m) |
xx |
yy |
xy |
| xx |
157.633 |
51.710 |
0.000 |
| yy |
51.710 |
148.942 |
0.000 |
| xy |
0.000 |
0.000 |
72.790 |
| Phonon mode at Γ point (THz) |
| Property |
Value |
| from where |
JVASP-6271 |