Al2Br2Se2
MatHub2d-1115-Al2Br2Se2
| Property |
Value |
| Space group |
(59, 'Pmmn') |
| Crystal system |
rectangular |
| Magnetic |
No |
| Band gap (PBE) (eV) |
1.49 |
| Free energy (eV) |
-23.339 |
| Free energy / atom (eV) |
-3.890 |
Lattice Parameters (basic)
| a, b, c (Å): | 3.615 | 5.235 | 30.000 |
| α, β, γ (°): | 90.000 | 90.000 | 90.000 |
Lattice Parameters (computed)
| a, b, c (Å): | 3.612 | 5.233 | 30.000 |
| α, β, γ (°): | 90.000 | 90.000 | 90.000 |
| Property |
Value |
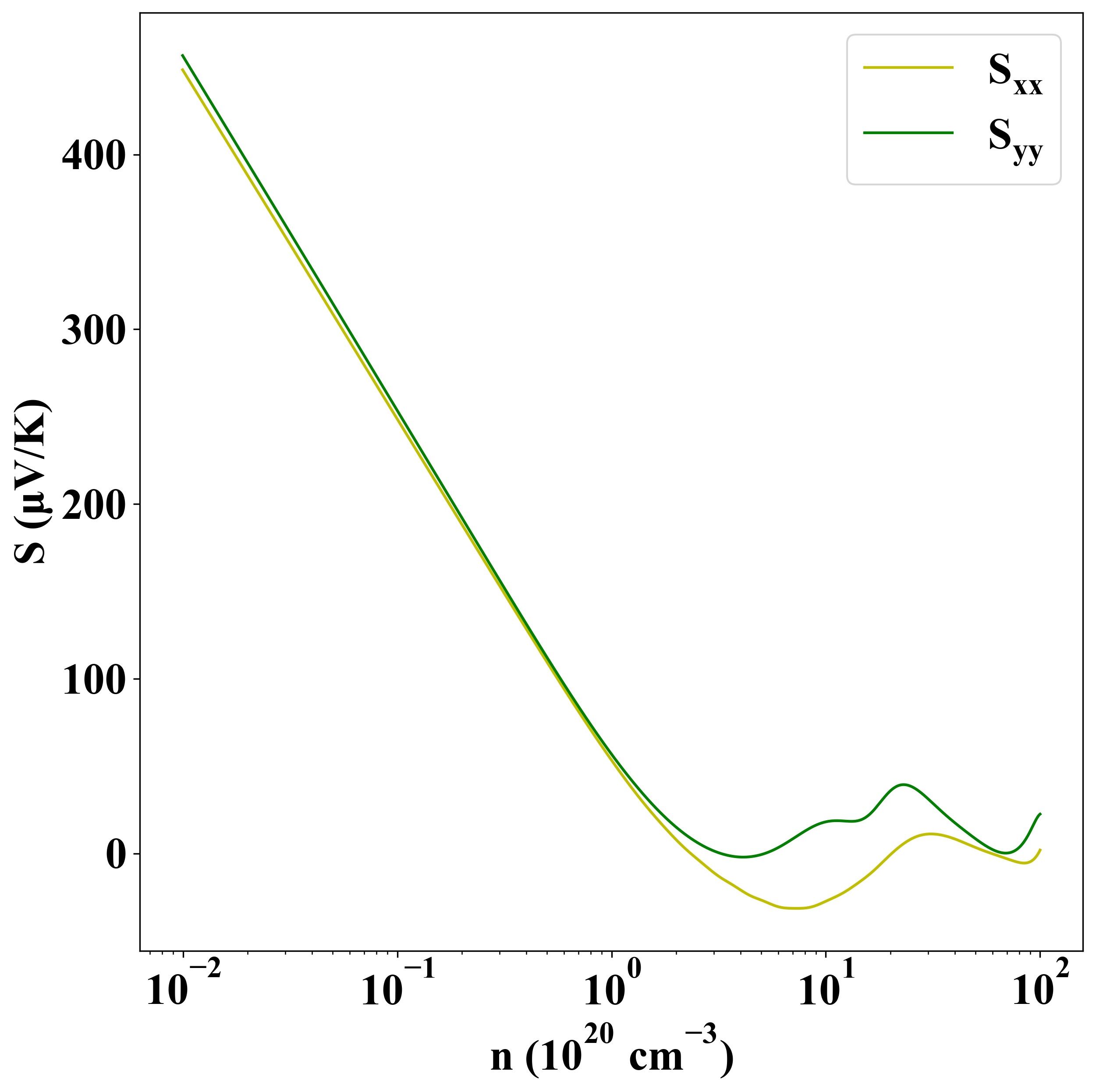
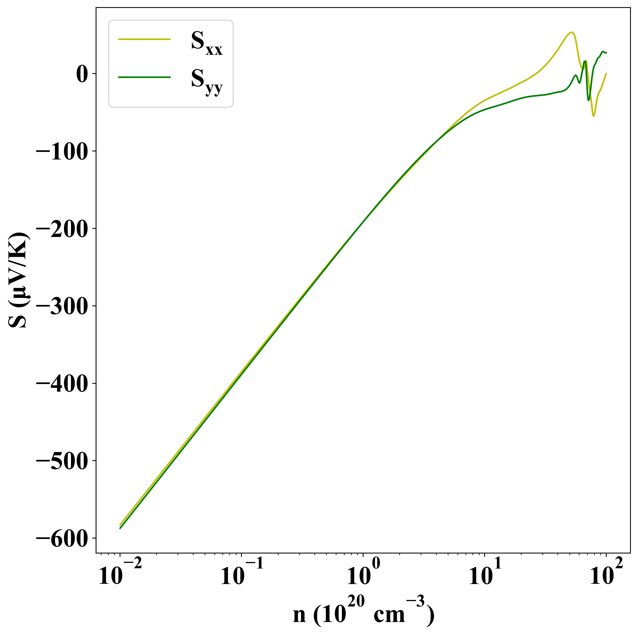
| Band gap |
1.49 eV |
| E-fermi |
-2.940 eV |
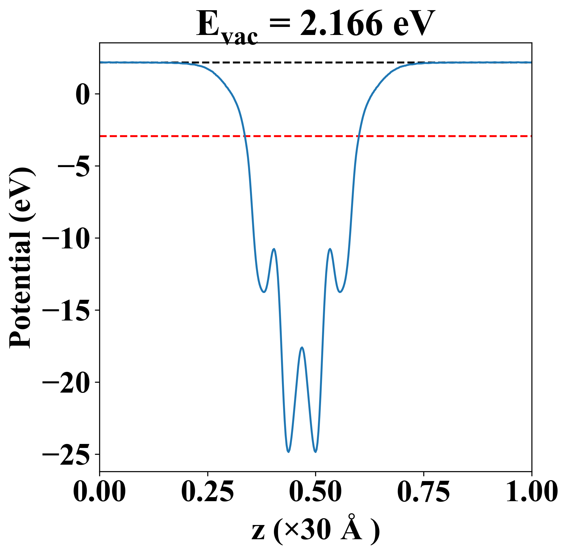
| Vacuum level |
2.166 eV |
| VBM |
-3.191 eV |
| CBM |
-1.698 eV |
| Work function |
5.106 eV |
| Direct gap |
No |
| Property |
Value |
| Band gap |
1.52 eV |
| E-fermi |
-2.912 eV |
| VBM |
-3.194 eV |
| CBM |
-1.673 eV |
| Free energy (eV) |
-23.428 |
| Free energy / atom (eV) |
-3.905 |
| Property |
Value |
| Band gap |
1.49 eV |
| E-fermi |
-2.940 eV |
| Vacuum level |
2.166 eV |
| VBM |
-3.191 eV |
| CBM |
-1.698 eV |
| Work function |
5.106 eV |
| Cij (N/m) |
xx |
yy |
xy |
| xx |
92.860 |
12.674 |
0.000 |
| yy |
12.674 |
55.685 |
0.000 |
| xy |
0.000 |
0.000 |
27.257 |
| Phonon mode at Γ point (THz) |
| Property |
Value |
| from where |
c2db-17 |