Al2Br2S2
MatHub2d-1114-Al2Br2S2
| Property |
Value |
| Space group |
(59, 'Pmmn') |
| Crystal system |
rectangular |
| Magnetic |
No |
| Band gap (PBE) (eV) |
2.27 |
| Free energy (eV) |
-25.464 |
| Free energy / atom (eV) |
-4.244 |
Lattice Parameters (basic)
| a, b, c (Å): | 3.518 | 4.890 | 30.000 |
| α, β, γ (°): | 90.000 | 90.000 | 90.000 |
Lattice Parameters (computed)
| a, b, c (Å): | 3.512 | 4.884 | 30.000 |
| α, β, γ (°): | 90.000 | 90.000 | 90.000 |
| Property |
Value |
| Band gap |
2.27 eV |
| E-fermi |
-3.493 eV |
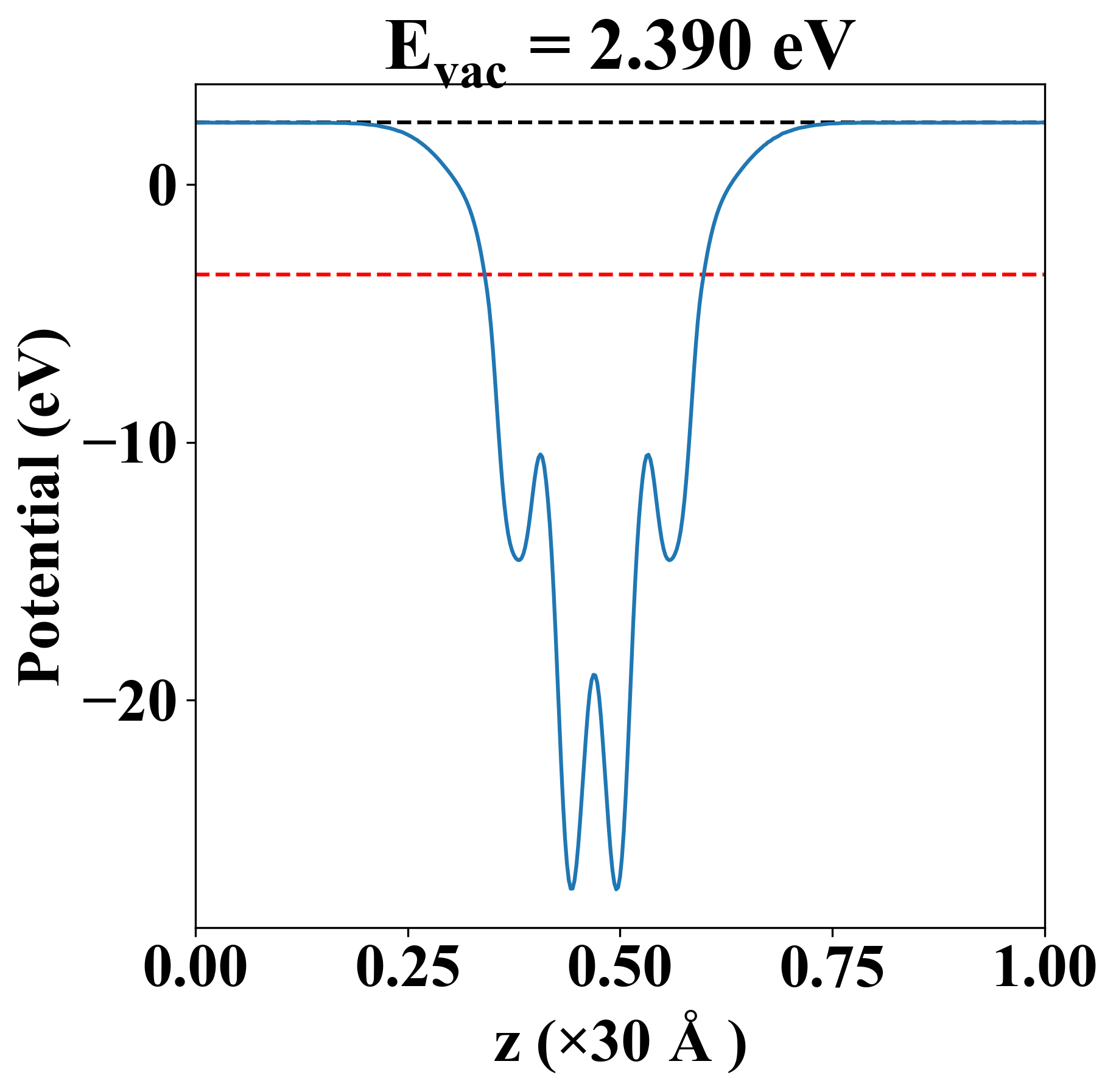
| Vacuum level |
2.390 eV |
| VBM |
-3.727 eV |
| CBM |
-1.456 eV |
| Work function |
5.884 eV |
| Direct gap |
Yes |
| Property |
Value |
| Band gap |
2.27 eV |
| E-fermi |
-3.509 eV |
| VBM |
-3.734 eV |
| CBM |
-1.464 eV |
| Free energy (eV) |
-25.518 |
| Free energy / atom (eV) |
-4.253 |
| Property |
Value |
| Band gap |
2.27 eV |
| E-fermi |
-3.493 eV |
| Vacuum level |
2.390 eV |
| VBM |
-3.727 eV |
| CBM |
-1.456 eV |
| Work function |
5.884 eV |
| Cij (N/m) |
xx |
yy |
xy |
| xx |
106.005 |
16.559 |
0.000 |
| yy |
16.559 |
64.658 |
0.000 |
| xy |
0.000 |
0.000 |
33.387 |
| Phonon mode at Γ point (THz) |
| Property |
Value |
| from where |
c2db-16 |