Al2Br2O2
MatHub2d-1113-Al2Br2O2
| Property |
Value |
| Space group |
(59, 'Pmmn') |
| Crystal system |
rectangular |
| Magnetic |
No |
| Band gap (PBE) (eV) |
4.11 |
| Free energy (eV) |
-33.415 |
| Free energy / atom (eV) |
-5.569 |
Lattice Parameters (basic)
| a, b, c (Å): | 3.313 | 3.669 | 30.000 |
| α, β, γ (°): | 90.000 | 90.000 | 90.000 |
Lattice Parameters (computed)
| a, b, c (Å): | 3.311 | 3.652 | 30.000 |
| α, β, γ (°): | 90.000 | 90.000 | 90.000 |
| Property |
Value |
| Band gap |
4.11 eV |
| E-fermi |
-3.489 eV |
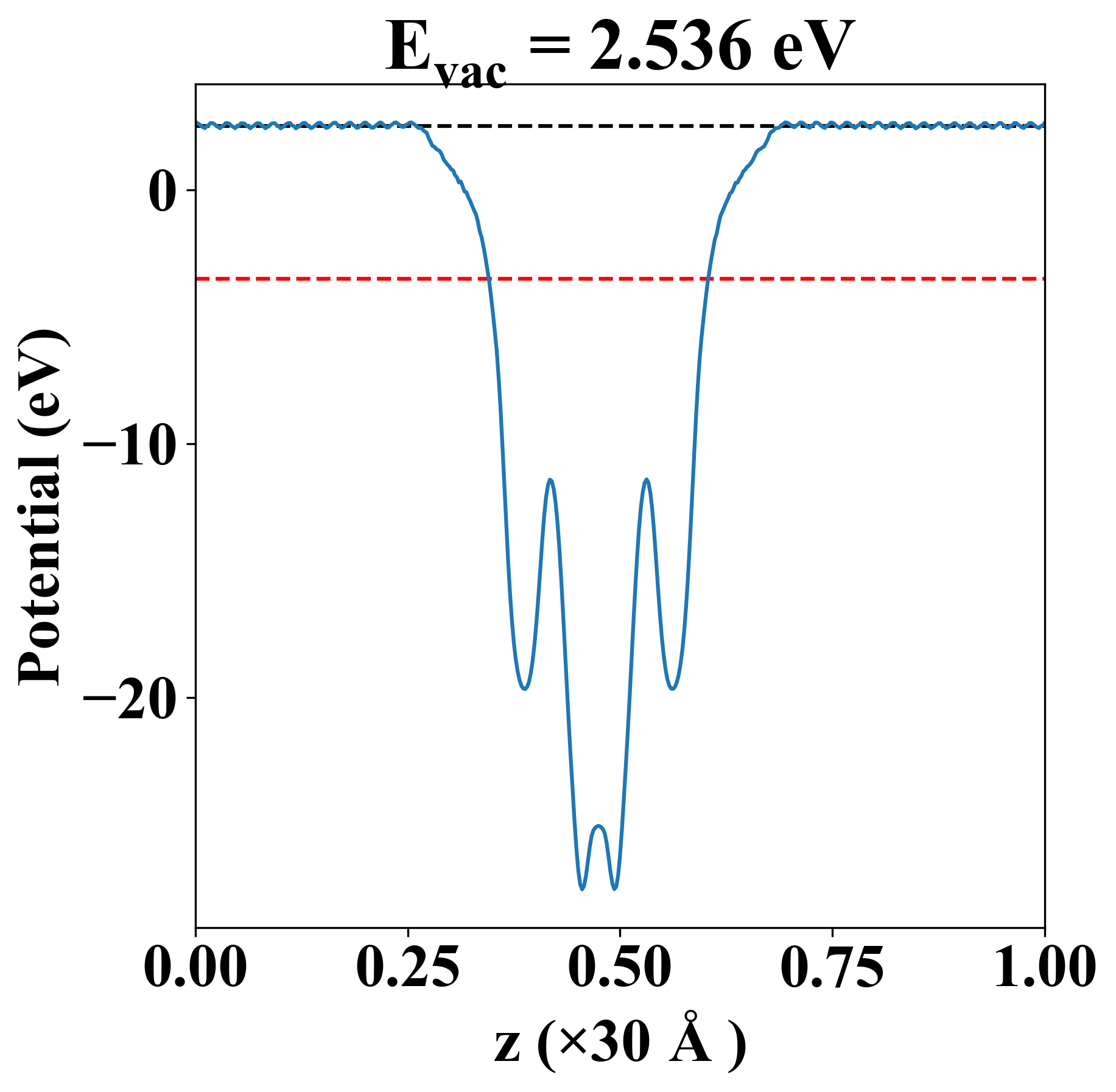
| Vacuum level |
2.536 eV |
| VBM |
-3.804 eV |
| CBM |
0.308 eV |
| Work function |
6.025 eV |
| Direct gap |
No |
| Property |
Value |
| Band gap |
4.16 eV |
| E-fermi |
-3.640 eV |
| VBM |
-3.870 eV |
| CBM |
0.286 eV |
| Free energy (eV) |
-33.456 |
| Free energy / atom (eV) |
-5.576 |
| Property |
Value |
| Band gap |
4.11 eV |
| E-fermi |
-3.489 eV |
| Vacuum level |
2.536 eV |
| VBM |
-3.804 eV |
| CBM |
0.308 eV |
| Work function |
6.025 eV |
| Cij (N/m) |
xx |
yy |
xy |
| xx |
151.792 |
54.692 |
0.000 |
| yy |
54.692 |
151.002 |
0.000 |
| xy |
0.000 |
0.000 |
69.724 |
| Phonon mode at Γ point (THz) |
| Property |
Value |
| from where |
c2db-15 |