Al1P1S4
MatHub2d-1111-Al1P1S4
| Property |
Value |
| Space group |
(16, 'P222') |
| Crystal system |
rectangular |
| Magnetic |
No |
| Band gap (PBE) (eV) |
2.73 |
| Free energy (eV) |
-29.171 |
| Free energy / atom (eV) |
-4.862 |
Lattice Parameters (basic)
| a, b, c (Å): | 5.071 | 5.706 | 30.000 |
| α, β, γ (°): | 90.000 | 90.000 | 90.000 |
Lattice Parameters (computed)
| a, b, c (Å): | 6.008 | 5.693 | 30.000 |
| α, β, γ (°): | 90.000 | 90.000 | 90.000 |
| Property |
Value |
| Band gap |
2.73 eV |
| E-fermi |
-4.721 eV |
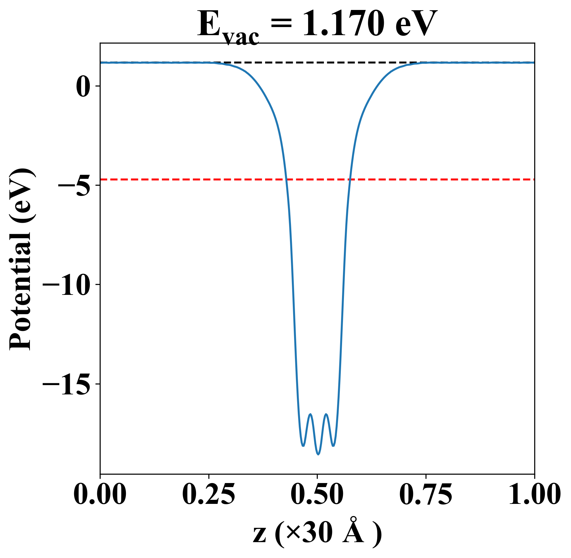
| Vacuum level |
1.170 eV |
| VBM |
-5.000 eV |
| CBM |
-2.273 eV |
| Work function |
5.890 eV |
| Direct gap |
No |
| Property |
Value |
| Band gap |
2.73 eV |
| E-fermi |
-4.730 eV |
| VBM |
-5.010 eV |
| CBM |
-2.284 eV |
| Free energy (eV) |
-29.173 |
| Free energy / atom (eV) |
-4.862 |
| Property |
Value |
| Band gap |
2.73 eV |
| E-fermi |
-4.721 eV |
| Vacuum level |
1.170 eV |
| VBM |
-5.000 eV |
| CBM |
-2.273 eV |
| Work function |
5.890 eV |
| Cij (N/m) |
xx |
yy |
xy |
| xx |
1.747 |
0.384 |
0.000 |
| yy |
0.384 |
51.746 |
-0.000 |
| xy |
0.000 |
-0.000 |
0.001 |
| Phonon mode at Γ point (THz) |
| Property |
Value |
| from where |
JVASP-6265 |