Ag2I2Se2
MatHub2d-1110-Ag2I2Se2
| Property |
Value |
| Space group |
(59, 'Pmmn') |
| Crystal system |
rectangular |
| Magnetic |
|
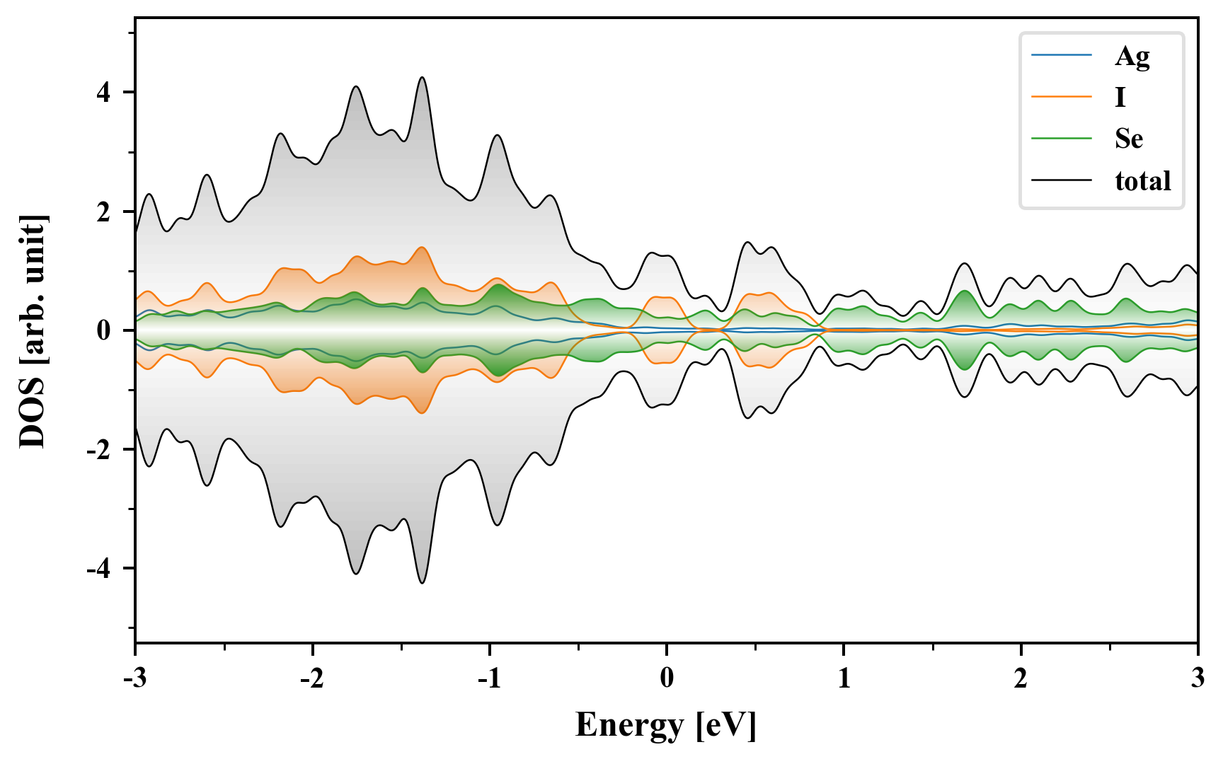
| Band gap (PBE) (eV) |
0.00 |
| Free energy (eV) |
-12.306 |
| Free energy / atom (eV) |
-2.051 |
Lattice Parameters (basic)
| a, b, c (Å): | 3.380 | 4.415 | 30.000 |
| α, β, γ (°): | 90.000 | 90.000 | 90.000 |
Lattice Parameters (computed)
| a, b, c (Å): | 3.436 | 4.352 | 30.000 |
| α, β, γ (°): | 90.000 | 90.000 | 90.000 |
| Property |
Value |
| Band gap |
0.00 eV |
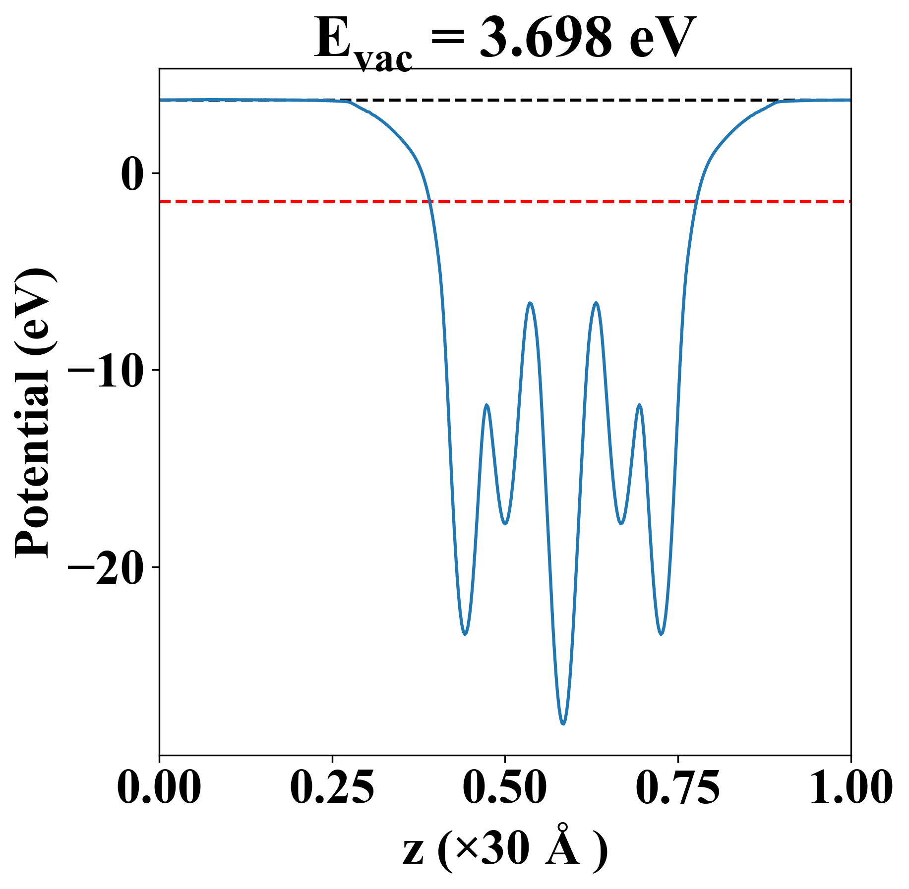
| E-fermi |
-1.472 eV |
| Vacuum level |
3.698 eV |
| VBM |
-1.474 eV |
| CBM |
-1.468 eV |
| Work function |
5.170 eV |
| Direct gap |
No |
| Property |
Value |
| Band gap |
0.00 eV |
| E-fermi |
-1.472 eV |
| Vacuum level |
3.698 eV |
| VBM |
-1.474 eV |
| CBM |
-1.468 eV |
| Work function |
5.170 eV |
| Cij (N/m) |
xx |
yy |
xy |
| xx |
54.080 |
17.871 |
0.000 |
| yy |
17.871 |
56.056 |
0.000 |
| xy |
0.000 |
0.000 |
9.650 |
| Phonon mode at Γ point (THz) |
| -1.056 |
| -0.608 |
| -0.279 |
| -0.009 |
| -0.008 |
| -0.001 |
| 0.551 |
| 0.660 |
| 1.027 |
| 1.367 |
| 1.627 |
| 1.714 |
| 2.670 |
| 2.861 |
| 2.910 |
| 3.077 |
| 3.443 |
| 3.689 |
| Property |
Value |
| from where |
c2db-13 |