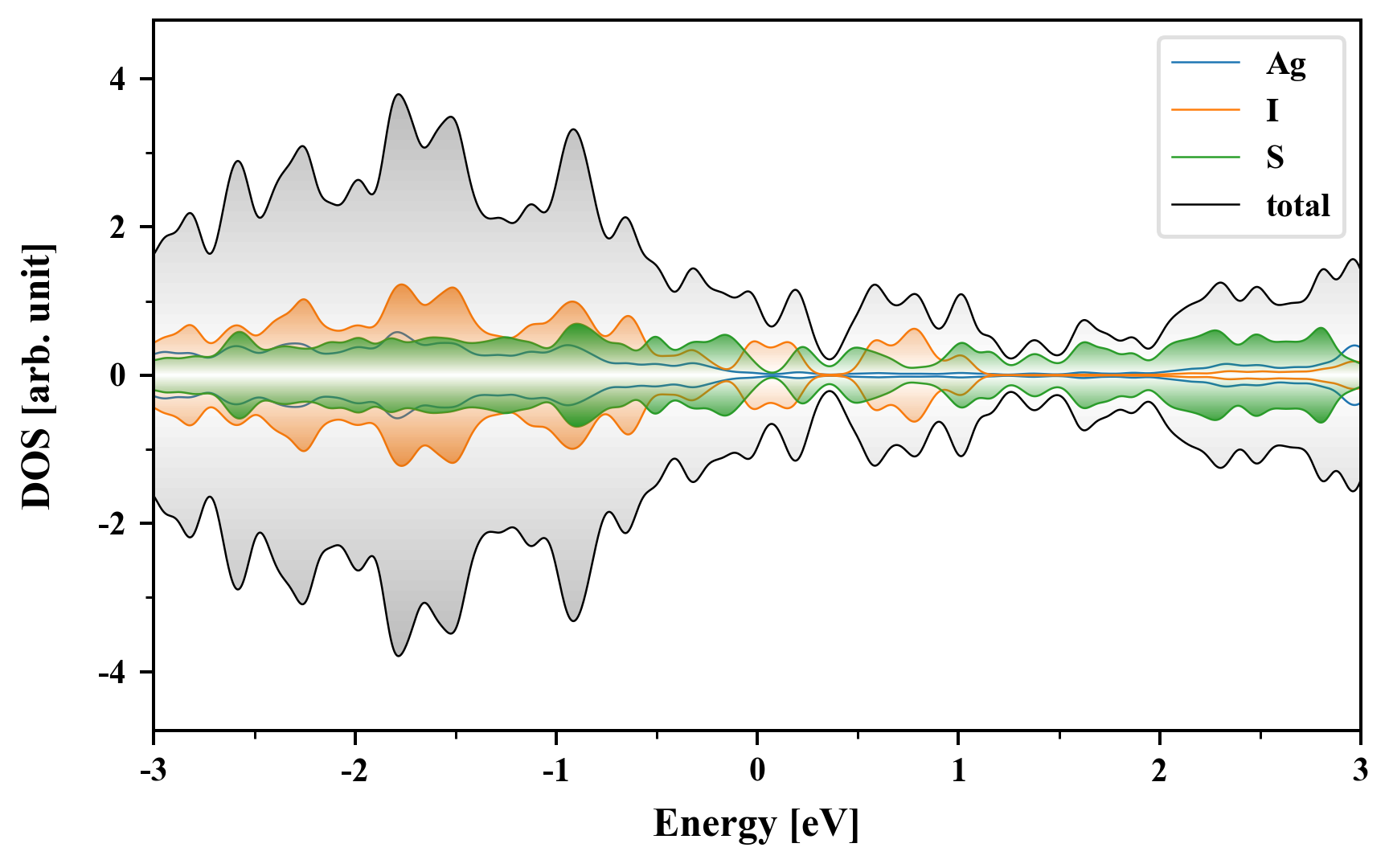
Ag2I2S2
MatHub2d-1109-Ag2I2S2
| Property |
Value |
| Space group |
(59, 'Pmmn') |
| Crystal system |
rectangular |
| Magnetic |
|
| Band gap (PBE) (eV) |
0.00 |
| Free energy (eV) |
-12.698 |
| Free energy / atom (eV) |
-2.116 |
Lattice Parameters (basic)
| a, b, c (Å): | 3.857 | 4.968 | 30.000 |
| α, β, γ (°): | 90.000 | 90.000 | 90.000 |
Lattice Parameters (computed)
| a, b, c (Å): | 4.053 | 3.343 | 30.000 |
| α, β, γ (°): | 90.000 | 90.000 | 90.000 |
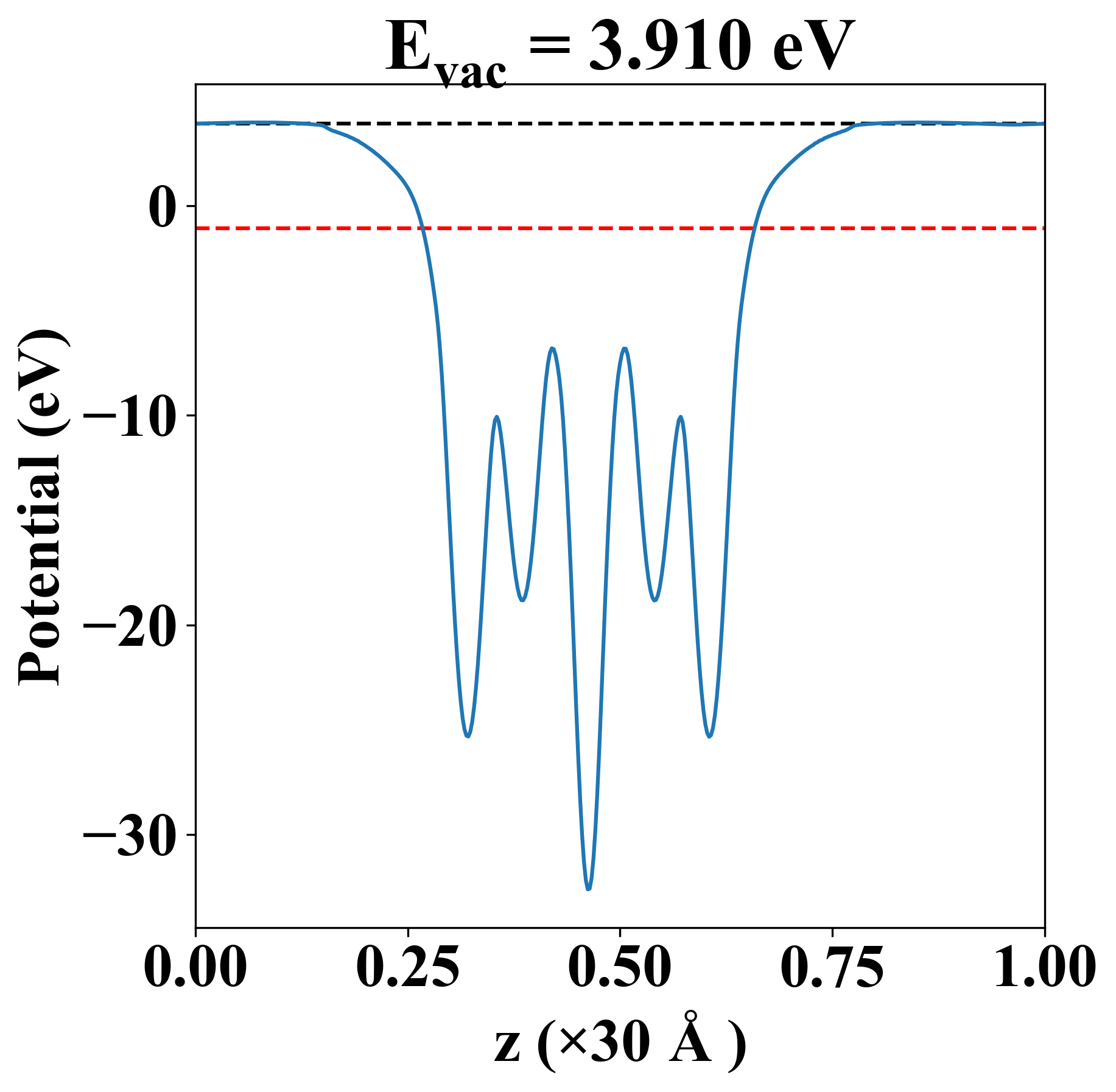
| Property |
Value |
| Band gap |
0.00 eV |
| E-fermi |
-1.087 eV |
| Vacuum level |
3.910 eV |
| VBM |
-1.088 eV |
| CBM |
-1.085 eV |
| Work function |
4.997 eV |
| Direct gap |
No |
| Property |
Value |
| Band gap |
0.00 eV |
| E-fermi |
-1.087 eV |
| Vacuum level |
3.910 eV |
| VBM |
-1.088 eV |
| CBM |
-1.085 eV |
| Work function |
4.997 eV |
| Cij (N/m) |
xx |
yy |
xy |
| xx |
50.779 |
12.732 |
0.000 |
| yy |
12.732 |
55.355 |
0.000 |
| xy |
0.000 |
0.000 |
0.548 |
| Phonon mode at Γ point (THz) |
| Property |
Value |
| from where |
c2db-12 |